Meine Merkliste
my.chemie.de  
Login  

6 Hinweise, wie die Partikeleigenschaften das rheologische Verhalten Ihrer Dispersion beeinflussen

Nutzen Sie die Kenntnisse über die Zusammenhänge, um gezielter Formulierungen entwickeln zu können

Kontakt / Infos anfordern

Kontaktieren Sie den Anbieter und fordern Sie gratis weitere Informationen an:

Merkliste

Hier setzen Sie das nebenstehenden White Paper auf Ihre persönliche Merkliste

Zusatzinformationen

Für die Anwendung disperser Systeme, Materialien bei denen ein Stoff, als Partikel sei es fest oder flüssig in einer anderen Phase fein verteilt ist, sind die Fließeigenschaften und die Dispersionsstabilität ein entscheidender Qualitätsfaktor.
Die Fließeigenschaften beeinflussen die Akzeptanz beim Anwender, sind aber auch ein kritischer Parameter wenn es um die Verarbeitung wie zum Beispiel die Abfüllung geht. Die Dispersionsstabilität ist entscheidend für die Haltbarkeit und auch die Re-Dispergierung und Homogenität bei der Anwendung.
Im Alltag sind Dispersionen jedem vertraut. Formulierungen in der Kosmetik und Körperpflege, bei Lebensmitteln, Farben, Beschichtungsmaterialien oder Klebstoffen bis hin zu Pharmazeutika sind dabei nur einige Beispiele, die mit unzähligen speziellen Rezepturen in der Polymertechnik oder dem Gebiet der Materialforschung ergänzt werden können.

Um die Erwartungen der Anwender an das disperse System zu erfüllen, ist es die Aufgabe des Herstellers ein entsprechendes Produkt zu entwickeln und zu liefern.
Die Partikelgröße wird dabei in der Entwicklung heute häufig bestimmt und auch die rheologischen Eigenschaften werden ermittelt, zumindest in einfacher Weise die Viskosität.

Doch um wirklich eingreifen zu können und die optimale Balance im Hinblick auf die Formulierung, deren Akzeptanz durch die Verbraucher und Anwendungs-Performance bieten zu können, ist es von Bedeutung, die Beziehung zwischen dem Fließverhalten, der Rheologie und Partikeleigenschaften zu verstehen.
Wie die physikalischen Eigenschaften der dispergierten Partikel, wie die durchschnittliche Größe, die Größenverteilung und auch die Form Einfluss auf die rheologischen Eigenschaften des Produkts nehmen, wird in kurzen markanten Abschnitten erklärt.

Zunächst soll der theoretische Ansatz kurz verdeutlicht werden.

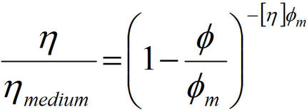
Einen praxisrelevanten expotenziellen Viskositäts-Konzentrationszusammenhang stellt die Krieger-Doherty-Gleichung dar.
Sie beschreibt Korrelation zwischen den rheologischen Eigenschaften von Suspensionen, bei niedrigen Scherraten (d.h. im Bereich des 1. Newtonschen Plateaus) und der Korngrößenverteilung.

In dieser Gleichung bedeutet η die Viskosität der Suspension, η Medium die Viskosität des Lösemittels, φ der Volumengehalt der Feststoffe in der Suspension, φm der maximale Feststoffvolumengehalt in der Suspension, [η] die intrinsische Viskosität des Lösemittels, d.h. 2,5 für kugelförmige Körper.

Diese Korrelation deutet darauf hin, dass die Viskosität mit zunehmendem Feststoffvolumengehalt steigt. Mit zunehmendem Feststoffvolumengehalt tritt folgendes ein: Die Partikel werden enger gepackt; es wird für sie schwieriger, sich frei zu bewegen; die interpartikulären Wechselwirkungen nehmen zu, und der Fließwiderstand (Viskosität im Bereich des 1. Newtonschen Plateaus*1) steigt. Nähert sich der Volumengehalt dem maximalen Wert für die Probe, steigt die Viskosität sehr stark an.

*1: Bereich der stationären Scherviskositätskurve für Scherraten gegen Null, in dem die Scherviskosität unabhängig von der Scherrate ist.

6 praktische Zusammenhänge graphisch dargestellt:

1 - Abnahme der Partikelgröße führt in der Regel zu höhere Viskosität.
Wird bei konstantem Volumenanteil die Partikelgröße verringert nimmt die Anzahl der Partikel zu, dadurch erhöhen sich die Partikel-Partikel-Wechselwirkungen, was in der Regel zu einer höheren Viskosität einer Probe führt. Dieser Effekt zeigt sich besonders bei niedrigen Scherraten, da Partikel-Partikel-Wechselwirkungen schwache Kräfte sind.

2 - Nimmt die Partikelgröße zu, sinkt die Viskosität im Allgemeinen
Eine höhere Partikelgröße führt zu einer geringeren Anzahl von Partikel-Partikel-Wechselwirkungen. Dieser Effekt ist aufgrund der geringen Kräfte der Partikel-Partikel-Wechselwirkungen bei niedrigen Scherraten am stärksten ausgeprägt.

Beide Beobachtungen treffen auf Systeme zu, deren Partikelgröße der innern Phase möglicht sehr eng verteilt ist.

3 - Bei breiter Partikelgrößenverteilung sinkt Viskosität
Partikelsysteme die eine breite Verteilung haben (hohe Polydispersität) lassen sich in der Regel deutlich besser packen als ein System von Teilchen gleicher Größe (schmale Verteilung).
Dies bedeutet im Wesentlichen, dass die breite Verbreitung den Partikeln mehr  Bewegungsfreiheit bietet. Die Probe fließt besser, hat also eine geringere Viskosität. So kann eine genauere Definition der  Partikelverteilung zur Erhöhung der Stabilität eines Systems genutzt werden.

4 - Klein und groß
Die richtige Kombination von Partikelgröße und Partikelgrößenverteilung und Auswirkungen auf die Viskosität:
Unter Beibehaltung der Volumenanteils der dispersen Phase hat eine Probe mit relativ großen Partikeln und einem kleinen Anteil kleiner Partikel eine geringere Viskosität als die Probe mit nur kleinen Teilchen oder nur großen Partikeln alleine.
Einerseits ist hierbei die  Änderung der Anzahl somit der Partikel-Partikel-Wechselwirkungen  zu beobachten, jedoch auch die Änderung der Polydispersität, die ab einem bestimmten Verhältnis eine dominierende Wirkung zeigt.

5 - Anzahl der Teilchen verändert das Fließverhalten.
Ist eine konstante Partikelgröße gewährleistet ändert sich in der Regel ein ursprünglich newtonsches Fließverhalten (was dann gegeben ist, wenn so wenige Teilchen vorhanden sind, dass sie gegenseitig nicht miteinander interagieren) durch Zugabe von weiteren Partikeln hin zu scherverdünntem Fließverhalten. Dabei interagieren nun die Partikel. Diese Interaktion wird jedoch, da die Kräfte so klein sind, mit zunehmender Schergeschwindigkeit verhindert wodurch die Scherverdünnung auftritt. Eine weitere Partikelzugabe kann zu dilatantem Verhalten führen, d.h. dabei sind so viele Teilchen im System vorhanden, dass sie bei Erhöhung der Scherung damit beginnen, physikalisch miteinander zu kollidieren, eine Ursachen der Scherverdickung.

6 - Einfluss der Partikelform
Außer der Partikelgröße und der Konzentration hat auch die Partikelform einen Einfluss
Aufgrund der morphologischen Eigenschaften werden Partikel mit niedrigem und hohem Konvexitätsfaktor unterschieden. (rund = 1, gezackt >1)
Zusätzlich zu allen anderen chemischen Wechselwirkungen, die bei beiden Partikelformen auftreten können, weisen Dispersionen mit Teilchen die einen geringeren Konvexitätsfaktor haben, also gezackt sind, eine zusätzliche mechanische Festigkeit auf und zeigen somit eine höhere Viskosität bei geringer Scherung.

Das Morphologi G3, ein vollautomatisiertes Partikelcharakterisierungssystem von Malvern Instruments, liefert hochqualitative und statistisch signifikante Informationen zur Partikelgröße und Partikelform, mit Bildern der einzelnen Partikel.

Suspensionen mit länglichen Partikel Teilchen haben tendenziell eine höhere Viskosität im niedrigen Scherratenbereich, aber ein niedrigere im hohen Scherratebereich als ihre sphärischen Äquivalente, da bei länglichen Partikeln, die zufällige Orientierung zu einer höheren Fließgrenze und einer  Erhöhung der Scherviskosität führt. Jedoch unter Scherung orientieren sich diese langgestreckten Teilchen häufig in Fließrichtung. Ist diese Scherung erreicht  fließen sie leichter, haben dann also eine niedrigere Scherviskosität als die sphärische gleich großen Partikel (volumengleiche Kugel).

Ein Balanceakt

Größere Partikel oder kleinere Partikel; enge oder breite Verteilung; niedrige oder hohe Konzentration; kugelförmige oder längliche Partikel, glatte oder gezackte Oberfläche, niedrige Viskosität bei geringen Scherraten; hohe Viskosität bei geringen Scherraten oder umgekehrt.
Fragen, die für jedes Produkt und jede Anwendung individuell beantwortet werden müssen.
Moderne Partikelcharakterisierungsmethoden und rheologische Grundversuche liefern interdisziplinäre Parameter die eine effiziente Formulierungsarbeit unterstützen.

Das Kinexus Rotationsrheometer von Malvern Instruments liefert intelligente Rheologie-Lösungen und vereinfacht durch ein vollkommen applikationsgeführtes Interface rheologische Messungen.

Zusatzinformation:
Zetapotenzial:

Zusätzlich zur Partikelgröße, Partikelform und Rheologie kommt bei der Dispersionsstabilität auch das Zetapotenzial zum tragen.
Wie das Zetapotenzial die Dispersionsstabilität beeinflusst, können sie in einer online Präsentation sehen und hören, die kürzlich aufgezeichnet wurde und sehr gute Bewertung erhielt:

Dispersionen, Suspensionen, Emulsionen - Anwendungen von Zetapotenzialmessungen zur Charakterisierung und Stabilitätsbeurteilung

Das online Seminar behandelt nach kurzer Darstellung einiger theoretischer Aspekte der elektrophoretischen Lichtstreuung hauptsächlich Anwendungen der Methode mit unterschiedlichen Zielrichtungen. Neben oberflächenchemischen Charakterisierungen werden an Beispielen Beziehungen zur Stabilitätsbeurteilung aufgezeigt. Im Mittelpunkt steht die Diskussion von ausgewählten Anwendungen der Zetapotenzialmessung mittels elektrophoretischer Lichtstreuung.


Sie finden das aufgenommene Webinar auf  der Malvern Webseite unter Schulungen / online-Multimedia Vorträge

Mehr über Malvern
Kontakt
Malvern Instruments GmbH
Rigipsstraße 19
71083 Herrenberg
Deutschland
Tel.
++49 / (0)7032 / 97770
Fax
++49 / (0)7032 / 77854
Themenschwerpunkte
Ihr Bowser ist nicht aktuell. Microsoft Internet Explorer 6.0 unterstützt einige Funktionen auf Chemie.DE nicht.