Meine Merkliste
my.chemie.de  
Login  

Proteincharakterisierung durch Gelpermeationschromatographie

Online-Bestimmung von Molekulargewichten und hydrodynamischen Radien

Bernd Tartsch, Dr. Gerhard Heinzmann
Viscotek GmbH, Carl-Zeiss-Str. 11, 68753 Waghäusel

Kontakt / Infos anfordern

Kontaktieren Sie den Anbieter und fordern Sie gratis weitere Informationen an:

Merkliste

Hier setzen Sie das nebenstehenden White Paper auf Ihre persönliche Merkliste

Die Gelpermeationschromatographie (GPC) oder Größenausschlußchromatographie (SEC), die in der Biochemie häufig auch als Gelfiltration bezeichnet wird, ist eine etablierte Methode zur Auftrennung, Reinigung und Analyse von Proteinen, Proteingemischen, Proteinkomplexen und auch anderen biologischen Makromolekülen. In den meisten Fällen wird zur Detektion der Proteine im Eluat ein UV-, seltener auch ein Brechungsindexdetektor (RI) verwendet. Damit können allerdings nur relative Molekulargewichte ermittelt werden. Setzt man zusätzlich Lichtstreu- und Viskositätsdetektoren ein, so erhält man, ohne daß die chromatographischen Bedingungen geändert werden müssen, wahre Molekulargewichte der Proteine sowie hydrodynamische Radien und Konformationsinformationen

Konventionelle Gelpermeationschromatographie

Bei der Gelpermeationschromatographie erfolgt die Trennung nach dem hydrodynamischen Volumen der Proben. Mit Hilfe einer Kalibrierkurve, die unter Verwendung einer Anzahl Standards bekannter Molmasse aufgestellt werden muß, kann aus dem Retentionsvolumen das relative Molekulargewicht der Proteine bestimmt werden. Da das Verhältnis von Molekulargewicht und hydrodynamischem Volumen aber stark von der Form und der molekularen Dichte der Proteine abhängt, sind die Ergebnisse in der konventionellen Gelpermeationschromatographie immer nur relativer Natur [1,2]. Außerdem kann der Trennprozeß durch Wechselwirkungen zwischen Protein und Säulenmaterial gestört werden, wodurch das gemessene Retentionsvolumen und damit auch das Ergebnis der Analyse verfälscht wird. Hydrodynamische Radien und Konformationsinformationen sind mit der konventionellen Gelpermeations¬chromatographie grundsätzlich nicht zu erhalten.

Lichtstreu- und Viskositätsdetektoren

Um die genannten Einschränkungen zu überwinden, werden heute häufig Lichtstreu- und Viskositätsdetektoren eingesetzt. Der Vorteil dieser Detektoren besteht darin, daß man die Eigenschaften der Proben direkt aus den Detektorsignalen erhält. Daher ist das Retentionsvolumen für die Auswertung unwichtig und es ist auch keine Kalibrierkurve notwendig.

Proteine haben so dichte Strukturen und sind so klein, daß in der Lichtstreuung ein einziger Winkel bei 90° ausreicht um das Molekulargewicht zuverlässig zu bestimmen. Bei sehr großen Proteinen oder Protein-DNA-Komplexen reicht ein einziger Winkel jedoch nicht mehr aus. Hier werden zwei Meßprinzipien angewendet: die Mehrwinkel- und die Kleinwinkellichtstreuung bei 7°. Die Kleinwinkellichtstreuung hat den Vorteil, daß sie das Molekulargewicht ohne Extrapolation bestimmen kann.

Die Signale der einzelnen Detektoren hängen wie folgt von den Proben ab [3]:

RI-Signal ~ dn/dc x Konz.

Visk.-Signal ~ IV x Konz.

LS-Signal ~ (dn/dc)2 x MW x Konz.

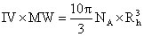
Dabei ist IV die intrinsische Viskosität oder Grenzviskosität, MW das Molekulargewicht und dn/dc das Brechungsindexinkrement des Proteins in dem verwendeten Lösungsmittel. Das Signal von UV-Detektoren hängt außer vom Absorptionskoeffizienten auch nur von der Proteinkonzentration ab. Der Vorteil der Verwendung von RI-Detektoren liegt jedoch in der gleichzeitigen Bestimmung des Brechungsindex¬inkrements dn/dc, welches zur Molekulargewichtsberechnung aus dem Lichtsreu-Signal notwendig ist. Die intrinsische Viskosität, die direkt und ohne zusätzliche Annahmen aus dem Viskosimetersignal erhalten wird, ist umgekehrt proportional zur molekularen Dichte des Proteins. Daher kann aus dem Molekulargewicht und der intrinsischen Viskosität der hydrodynamische Radius Rh eines Proteins gemäß folgender Gleichung erhalten werden [4]:

Hierin ist NA die Avogadro-Zahl. Der hydrodynamische Radius (oder Stokes’sche Radius) ist definiert als der Radius einer dem Protein hydrodynamisch äquivalenten Kugel. Diese Definition macht deutlich, daß Rh im Unterschied zu anderen aus der Polymeranalytik bekannten Größen nicht statistisch sondern phänomenologisch definiert ist. Der hydrodynamische Radius beschreibt also die Wirkung der Proteine in Transportprozessen (Viskosität, Diffusion, Permeation) und ist insofern häufig von weit größerer praktischer Bedeutung als z.B. das Molekulargewicht. Rh hängt sehr stark von der Gestalt d.h. von Tertiär- bzw. Quartärstruktur der Proteine ab: so läßt sich z.B. zwischen kugelförmigen Proteinen und eher gestreckten Proteinen unterscheiden.

Die Dreifachdetektion ist der reinen (Mehrwinkel-) Lichtstreudetektion insbesondere bezüglich der Strukturbestimmung überlegen, da ohne Viskosimeter nur Radien ermittelt werden können, die kleiner ca. 15 nm sind. Das entspricht bei Proteinen einem Molekulargewicht von vielen Millionen Dalton. Zum Beispiel besitzt Katalase mit 245.000 Dalton einen hydrodynamischen Radius von nur etwa 5,4 nm und für Thyroglobulin mit 660.000 Dalton findet man etwa 7,5 nm.

Bei niedermolekularen Proben ist die Empfindlichkeit der Detektoren der limitierende Faktor für die Anwendung der Dreifachdetektion. Aus praktischen Erfahrungen heraus kann man feststellen, daß Molekulargewichte bis hinunter zu etwa 1.000 Dalton und Radien bis hinunter zu weniger als 1 nm bestimmt werden können. Die notwendige Substanzmenge für die Analysen liegt zwischen nur etwa 10 μg für sehr hohe Molekulargewichte und ca. 500 μg für niedermolekulare Polypeptide.

Abb. 1: Dreifach-Chromatogramm von Immunglobulin G.

Anwendungsbeispiele

Als Beispiele für die Anwendung dieser Dreifachdetektionsmethode in der Gelpermeationschromatographie wird die Charakterisierung von Proteinaggregaten, die Denaturierung von Proteinen beschrieben und die Analyse von PEGulierten Proteinen beschrieben.

Charakterisierung von Proteinaggregaten

Die Abbildungen 1 und 2 zeigen die Dreifachchromatogramme von Immunoglobulin G und BSA. In beiden Fällen findet man Aggregate. Bei IgG kann für die Hauptbande ein Molekulargewicht von 152.000 Dalton und ein hydrodynamischer Radius von 5,1 nm bestimmt werden, während man für den kleinen Aggregatpeak bei einem Retentionsvolumen von etwa 13,5 ml die Ergebnisse MW = 297.000 Dalton und Rh = 6,9 nm erhält. Das zeigt, daß es sich bei dem Aggregat um ein Dimer handelt. Aus dem Signal des RI-Detektors kann der Dimeranteil an der gesamten Proteinmenge als kleiner 1% bestimmt werden.

Abb. 2: Dreifach-Chromatogramm von BSA.

Für BSA findet man neben der Hauptbande eine Dimerbande, eine Trimerbande und eine kontinuierliche Verteilung noch größerer Aggregate. Es wurden folgende Ergebnisse und Anteile erhalten: Monomer: 67.900 Dalton, 3,16 nm, 86%; Dimer: 135.700 Dalton, 4,45 nm, 12%; Trimer: 223.600 Dalton, 6,32 nm, 1,4%.

Gelegentlich kommt es auch vor, daß Protein-Proben einen sehr geringen Anteil an hochmolekularen Aggregaten besitzen, welcher so klein ist, daß er weder im UV- noch im RI-Detektor beobachtet werden kann. Hier demonstriert der Lichtstreudetektor seine hohen Sensitivität auf hohe Molekulargewichte. Diese hochmolekularen Aggregate geben im Signal des Lichtstreudetektors einen deutlichen Peak, so daß die Existenz der Aggregate bis weit unter 1% Anteil nachgewiesen werden kann.

Tab. 1: Denaturierug von BSA und Ovalbumin.

Denaturierung von Proteinen

Große Strukturänderungen erfahren Proteine bei der Denaturierung [5]. Dies läßt sich sehr gut anhand der intrinsischen Viskositäten verfolgen (siehe Tabelle 1).
Die hier beschriebenen Experimente zeigen, wie unterschiedlich verschiedene Proteine reagieren können. Durch Änderung des pH-Wertes auf 4,5 erhöht sich die intrinsische Viskosität bei beiden Polymeren auf etwa das Doppelte vom nativen Zustand. Bedenkt man, daß IV der molekularen Dichte umgekehrt proportional ist, läßt sich diese Änderung als Aufweitung der Struktur erklären. Auf Erwärmen im Wasserbad (60 °C, 30 min) reagieren die beiden untersuchten Proteine in unterschiedlicher Weise. Die Abnahme der intrinsischen Viskosität bei BSA wird auf eine teilweise Hydrolyse zurückgeführt [5]. Durch Erwärmen (60 °C, 30 min) mit 2-Mercaptoethanol als Reduktionsmittel für die Disulfid-Brücken erreicht man dramatische Änderungen von der kompakten globulären Struktur hin zu „normalen“ Polymerknäueln: die intrinsischen Viskositäten steigen auf Werte, die mehr als 10-fach über denen der nativen Proteine liegen. Zum Vergleich: das Polysaccharid Pullulan mit einem Molekulargewicht von etwa 50.000 Dalton besitzt in Wasser eine intrinsische Viskosität von etwa 0,3 dl/g.

Analyse von PEGulierten Proteinen

Eine besonders interessante Applikation aus dem Bereich der Drug Delivery Forschung ist die Analyse von mit Polyethylenglykol (PEG) umhüllten Proteinen. Die Umhüllung der Proteine soll eine zeitlich verzögerte Freisetzung der Wirkstoffe gewährleisten. Verwendet man neben einem Brechungsindexdetektor auch einen UV-Detektor für die GPC-Analyse, dann ermöglicht das sehr unterschiedliche Ansprechverhalten der Proteine und des Umhüllungsmaterials (Proteine sind stark UV-aktiv, PEG hingegen kaum) eine Differenzierung dieser beiden Substanzen. Somit können neben dem Molekulargewicht die Anteile an PEG/PEO und an Protein bestimmt werden und dadurch der Erfolg der PEGulierung und der genaue Umhüllungsgrad der Proteine bestimmt werden.

Zusammenfassung

Mit der Methode der Dreifachdetektion, d.h. der Kombination aus RI-, Viskositäts- und Lichtstreudetektor in der Gelpermeationschromatographie können neben wahren Molekulargewichten auch intrinsische Viskositäten, hydrodynamische Radien (bis < 1 nm) und damit Konformations- und Aggregationsinformationen von Proteinen in einem einzigen chromatographischen Analysenlauf reproduzierbar und sicher bestimmt werden. Damit ermöglicht diese Methode eine umfassende Charakterisierung von Proteinen in Lösung, was einen wesentlichen Vorteil gegenüber Molekulargewichtsbestimmungen in der Gasphase durch massenspektrometrische Methoden darstellt.

Literatur

[1] H. Determann, Gelchromatographie, Springer-Verlag, Berlin, Heidelberg (1967).

[2] S. Mori, H. G. Barth: Size Exclusion Chromatography, Springer-Verlag, Berlin, Heidelberg (1999).

[3] B. Tartsch, Sehen Sie das komplette Bild Ihrer Makromoleküle? Triple Detektion in der Gelpermeationschromatographie, Labo (2005).

[4] H.-G. Elias, Makromoleküle, 5. Auflage, Hüthig& Wepf, Basel (1984).

[5] P. K. Dutta, K. Hammons, B. Willibey, M. A. Haney: J. Chromatogr. 536, 113-121 (1991).

Mehr über Viscotek
Ihr Bowser ist nicht aktuell. Microsoft Internet Explorer 6.0 unterstützt einige Funktionen auf Chemie.DE nicht.