Um alle Funktionen dieser Seite zu nutzen, aktivieren Sie bitte die Cookies in Ihrem Browser.
my.chemie.de
Mit einem my.chemie.de-Account haben Sie immer alles im Überblick - und können sich Ihre eigene Website und Ihren individuellen Newsletter konfigurieren.
- Meine Merkliste
 - Meine gespeicherte Suche
 - Meine gespeicherten Themen
 - Meine Newsletter
 
						Henry Cavendish
 Henry Cavendish (* 10. Oktober 1731 in Nizza; † 24. Februar 1810 in London) war ein britischer Naturwissenschaftler. Produkt-Highlight
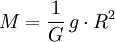
 LebenHenry Cavendish war der Sohn von Lord Charles Cavendish (ein Sohn des zweiten Herzogs von Devonshire) und Lady Ann Gray (Tochter des Herzogs von Kent). Die Familie gehörte zum alteingesessenen Adel und war mit vielen anderen bedeutenden Adelsfamilien in Großbritannien eng verbunden. Seine Mutter starb 1733 nach der Geburt seines Bruders Frederick. Im Alter von 11 Jahren war Cavendish ein Schüler von Newcome's School in Hackney, eine der größten und anerkanntesten Privatschulen des 18. Jahrhunderts. Anschließend besuchte er 1749 bis 1753 die Universität Cambridge, ohne jedoch einen Abschluss zu machen. Nach einer Reise mit seinem Bruder durch Europa lebte er zusammen mit seinem Vater bis zu dessen Tod 1783 in Soho (London). Während dieser Zeit führte er seine elektrischen und die meisten chemischen Forschungen durch. Er begann dabei als Assistent seines Vaters, der selbst wissenschaftliche Experimente durchführte. Mit 40 Jahren erbte Henry Cavendish ein großes Vermögen, das es ihm ermöglichte, seine wissenschaftlichen Studien weiterzuführen. Nach dem Tod seines Vaters zog er in eine Villa nach Clapham Common, wo er ein großes Experimentierlabor und eine Bibliothek einrichtete. Abgesehen davon änderte sich durch die Erbschaft kaum etwas an seinem bescheidenen Lebensstil. Cavendish legte ein exzentrisches Verhalten an den Tag. Frauen und Fremden gegenüber war er äußerst schüchtern und er vermied es, mit ihnen überhaupt zu sprechen. Er war ein großgewachsener Mann mit einer schrillen, dünnen Stimme und trug als Kleidung einen abgetragenen, verblassten, violetten Samtanzug und einen Dreispitz aus dem vorherigen Jahrhundert. Er war ein wortkarger Einzelgänger. Seinem Haushälter gab er Anweisungen in schriftlicher Form. Die einzige soziale Verpflichtung, die er einging, war die Mitgliedschaft im Royal Society Club, deren Treffen er regelmäßig besuchte. Cavendish führte unzählige wissenschaftliche Studien und Experimente durch, von denen allerdings die meisten zu seinen Lebzeiten unveröffentlicht blieben. Während seines ganzen Lebens hat er nur gerade 20 Artikel veröffentlicht und kein einziges Buch. Erst lange nach seinem Tod, gegen Ende des 19. Jahrhunderts, beschäftigte sich James Clerk Maxwell mit den Forschungen von Cavendish und erkannte, dass viele wissenschaftliche Errungenschaften von Henry Cavendish bereits vorweggenommen worden waren, so zum Beispiel das ohmsche Gesetz, das Dalton-Gesetz, das Gasgesetz von Charles und Prinzipien von elektrischer Leitfähigkeit. Cavendish starb 1810 in seinem 78. Lebensjahr. Er wurde in der Kathedrale von Derby begraben und hinterließ seinen Verwandten ein großes Vermögen. Der Wissenschaft vermachte er kein Geld, was seine Erben später korrigierten, indem sie 1871 Geld zum Aufbau des Cavendish-Laboratorium genannten Physik-Fachbereichs der Universität Cambridge stifteten. WerkEntdeckung des WasserstoffsZu seinen wichtigsten wissenschaftlichen Beiträgen zählen die Entdeckung des Wasserstoffs (1766) und die Erkenntnis, dass Wasserstoff zu Wasser verbrennt, dass also Wasser kein Element ist. Bestimmung der Gravitationskonstante1797 führte Cavendish mit einer von John Michell entwickelten Drehwaage die erste Bestimmung der Gravitationskonstanten durch. Die Gravitationskonstante bezeichnet die Anziehungskraft zweier punktförmiger Massen von je 1 Kilogramm in einer Entfernung von 1 Meter. Erst mit der Kenntnis von G konnten die Massen von Himmelskörpern präzise bestimmt werden. Da sich die Masse der Erde M aus: ergibt, wobei R der Erdradius, g die Fallbeschleunigung an der Erdoberfläche ist, wurde das Experiment auch als Wiegen der Erde bezeichnet (Cavendish betitelte seinen Originalaufsatz als Bestimmung der Erddichte). Der Geologe John Michell hatte seinen Messapparat kurz vor seinem Tod 1793 fertiggestellt, selbst aber noch keine Messungen durchgeführt. Das Prinzip der Messung stammt zwar von Michell (in seinem Aufsatz betont Cavendish, dass Michell die Idee schon vor Coulomb hatte), Cavendish verbesserte den Apparat (den er über den Cambridge-Professor Wollaston von Michell „erbte“, aber dann völlig neu baute) aber wesentlich, um Störfaktoren auszuschalten, insbesondere den Einfluss kleinster Temperaturschwankungen. Zu diesem Zweck bediente und beobachtete Cavendish beispielsweise sein Experiment aus einem anderen Raum mit einem Fernrohr. Gemessen wurde die Winkel-Auslenkung eines an einem Torsionsfaden aufgehängten Balkens, an dessen zwei Enden sich kleine Bleikugeln befanden, die von sich in unmittelbarer Nähe befindlichen größeren Bleikugeln angezogen wurden. Die Kraft wurde nach dem Hookeschen Gesetz proportional zum Auslenkungswinkel angenommen, mit dem Torsionskoeffizienten als Proportionalitätsfaktor. Letzterer wurde aus der Eigenschwingungsperiode des am Torsionsfaden aufgehängten Balkens bestimmt. 
 Literatur
 
  | 
				|||||||||||||||
| Dieser Artikel basiert auf dem Artikel Henry_Cavendish aus der freien Enzyklopädie Wikipedia und steht unter der GNU-Lizenz für freie Dokumentation. In der Wikipedia ist eine Liste der Autoren verfügbar. | |||||||||||||||

                                             
                                        

