Um alle Funktionen dieser Seite zu nutzen, aktivieren Sie bitte die Cookies in Ihrem Browser.
my.chemie.de
Mit einem my.chemie.de-Account haben Sie immer alles im Überblick - und können sich Ihre eigene Website und Ihren individuellen Newsletter konfigurieren.
- Meine Merkliste
- Meine gespeicherte Suche
- Meine gespeicherten Themen
- Meine Newsletter
Candela
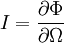
Candela (lateinisch für Talg-, Wachslicht) ist die photometrische SI-Basiseinheit der Lichtstärke. Eine isotrope Lichtquelle der Lichtstärke I = 1 Candela strahlt einen Lichtstrom von dΦ = 1 Lumen pro Raumwinkel dΩ = 1 Steradiant:
In Candela gibt man die Lichtstärke an, mit der eine Lichtquelle in eine bestimmte Richtung strahlt, im Gegensatz zum Lichtstrom, gemessen in Lumen. Beide Größen sind nach der spektralen Wahrnehmungsfähigkeit des menschlichen Auges gewichtet. Eine Haushaltskerze sendet einen Lichtstrom von etwa 12 Lumen aus. Dieser verteilt sich isotrop in alle Raumrichtungen, also auf die Einheitskugeloberfläche Siehe Lichtstärke für weitere Umrechnungsbeispiele. Produkt-Highlight
Physikalische DefinitionEin Candela ist die Lichtstärke (Lichtstromdichte) einer Strahlungsquelle, die monochromatische Strahlung der Frequenz 540 · 1012 Hertz, entsprechend einer Wellenlänge λ von ca. 555 nm, mit einer Leistung von 1/683 Watt pro Steradiant (Raumeinheitswinkel) aussendet. Wie bei allen photometrischen Größen bestimmt die
Hellempfindlichkeitskurve V(λ) die physiologische Abhängigkeit von der Wellenlänge. Für die gewählte Wellenlänge gilt: Frühere Definition: 60 cd ist die Lichtstärke der 1 cm2 großen Öffnung eines schwarzen Körpers (in Form eines Hohlkörpers) mit einer Temperatur von 2045 K (Schmelztemperatur von Platin). Alternativ: Leuchtstärke einer Kerze, die innerhalb einer Stunde 7,77 g Walrat verbraucht. Übersicht anderer fotometrischer Größen
Typische Lichtstärken in cd
Siehe auch
|
||||||||||||||||||||||||||||||||||||||||||||||||||||||||||
| Dieser Artikel basiert auf dem Artikel Candela aus der freien Enzyklopädie Wikipedia und steht unter der GNU-Lizenz für freie Dokumentation. In der Wikipedia ist eine Liste der Autoren verfügbar. | ||||||||||||||||||||||||||||||||||||||||||||||||||||||||||

.
. Somit hat eine Kerze eine Lichtstärke von



.