Um alle Funktionen dieser Seite zu nutzen, aktivieren Sie bitte die Cookies in Ihrem Browser.
my.chemie.de
Mit einem my.chemie.de-Account haben Sie immer alles im Überblick - und können sich Ihre eigene Website und Ihren individuellen Newsletter konfigurieren.
- Meine Merkliste
- Meine gespeicherte Suche
- Meine gespeicherten Themen
- Meine Newsletter
Rabi-FormelDie Rabi-Formel (nach Isidor Isaac Rabi) gibt die Wahrscheinlichkeit dafür an, ein Zwei-Niveau-System, das mit einer Sinus-förmigen Strahlung wechselwirkt, in einem der Beiden Zustände zu finden. Sie kann z.B. angewendet werden, um das Verhalten eines Atoms zu berechnen, das mit Licht (oder allgemeiner elektromagnetischer Strahlung) wechselwirkt. Mit ihr kann man grundlegende Vorgänge bei spektroskopischen Messungen erklären. Die Formel ergibt sich aus der störungstheoretischen Betrachtung des Systems. Die Wahrscheinlichkeit, dass das System im Zustand 2 vorliegt, wenn es Sinus-förmig gestört wird, beträgt:
mit Produkt-Highlight
HerleitungDer Hamilton-Operator sei H = H(0) + H(1)(t). Die zeitabhängige Schrödinger-Gleichung lautet:
Für die zu den beiden Energieniveaus gehörenden Wellenfunktionen gelte:
Bei Anwesenheit der Störung H(1)(t) formuliert man:
Nach Einsetzen und Ausmultiplizieren erhält man zwei Differentialgleichungen:
mit Bei einer konstanten Störung kann man schreiben:
und
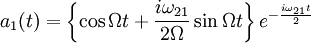
Nach Einsetzen und Lösen des Differentialgleichungs-Systems erhält man:
Die Wahrscheinlichkeiten ergeben sich zu Pi(t) = | ai(t) | 2. Siehe auch
Quellen
Literatur |
|
| Dieser Artikel basiert auf dem Artikel Rabi-Formel aus der freien Enzyklopädie Wikipedia und steht unter der GNU-Lizenz für freie Dokumentation. In der Wikipedia ist eine Liste der Autoren verfügbar. |

: Abstand der Energieniveaus, 


,
und
.