Um alle Funktionen dieser Seite zu nutzen, aktivieren Sie bitte die Cookies in Ihrem Browser.
my.chemie.de
Mit einem my.chemie.de-Account haben Sie immer alles im Überblick - und können sich Ihre eigene Website und Ihren individuellen Newsletter konfigurieren.
- Meine Merkliste
- Meine gespeicherte Suche
- Meine gespeicherten Themen
- Meine Newsletter
Rutherford-StreuungRutherford-Streuung beschreibt die Streuung von geladenen Partikeln an einem geladenen Streuzentrum. Im Ausgangsversuch wurde die Streuung von Alpha-Teilchen an Gold-Atomkernen untersucht. Die sich daraus ergebenden Teilchenbahnen sind Hyperbeln. Die Verteilung der gestreuten Teilchen lässt auf die Struktur des Streuzentrums rückschließen. Dies führte zur Erkenntnis, dass die positive Ladung in den Atomen sich auf einen kleinen Raum im Atomzentrum konzentriert. Bis dahin galt das Modell von J.J. Thomson, bei dem die positive Ladung des Atoms homogen in einer Kugel verteilt ist (Thomsonsches Atommodell). Beteiligt an diesen Experimenten waren Hans Geiger, Ernest Marsden und Ernest Rutherford. Bei der Betrachtung der Meßergebnisse, die darauf hinweisen, daß die Masse des Atoms in einem kleinen Kern konzentriert ist, soll Rutherford gesagt haben: "Dies ist so unwahrscheinlich, als ob man mit einer Pistole auf einen Wattebausch schießt, und die Kugel zurückprallt." Produkt-Highlight
Rutherfordscher Streuversuch (1911)Aufbau und DurchführungIn einen Blei-Block mit Öffnung zu einer Seite hin wird ein radioaktiver Stoff gelegt, der Strahlung abgibt: Alpha-, Beta- oder Gamma-Strahlung. Diese Strahlen werden durch die Öffnung im Bleiblock durch ein elektrisches Feld geleitet. Die Beta-Strahlen lenkt man zum positiven Pol hin ab, die Alpha-Strahlen zum negativen Pol und die Gamma-Strahlen bleiben unverändert. Die Alpha-Strahlung wird durch eine (ca. 2000 Atome) dünne Goldfolie geleitet. Die Strahlung lässt sich danach mit einem Leuchtschirm sichtbar machen. Es wurde Gold verwendet, da es sich schon damals mit einfachen mechanischen Mitteln zu sehr dünnen Schichten verarbeiten ließ und eine hohe Atommasse besitzt. In der abgedunkelten Versuchskammer kann man kleine Punkte auf den Schirm aufleuchten sehen und zählen. Hans Geiger und Ernest Marsden hatten das gemessen. Beobachtung
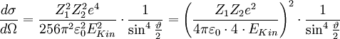
InterpretationDie Ablenkung der Alpha-Teilchen und ihre Winkelverteilung lassen sich dadurch verstehen, dass sich in den Atomen ein sehr kleines Massezentrum befindet, das elektrisch geladen ist. Man nennt dieses Massezentrum den Atomkern. Die meisten Strahlen sind durch die Goldfolie gekommen, d.h. dass zwischen den Kernen ein großer Freiraum besteht. Das Ergebnis führte auf das Rutherfordsche Atommodell. Die Elektronen, welche um den Kern kreisen, schirmen die positive Kern-Ladung ab, sodass das Atom nach außen hin neutral erscheint. Rutherfordsche StreuformelDie Rutherfordsche Streuformel gibt den so genannten differenziellen Streuquerschnitt (auch Wirkungsquerschnitt genannt) an:
Die gleiche Formel in kernphysikalisch sinnvollen Einheiten:
Damit ist die Wahrscheinlichkeit beschrieben, dass gestreute Teilchen nach einer Ablenkung um den Winkel In der Formel werden weiterhin folgende Größen benutzt:
Auf den Vorfaktor kommt man, indem man folgende Größen verwendet:
Rutherford leitete die Rutherfordsche Streuformel aus der klassischen Physik her. Eine vollständige quantenmechanische Behandlung des Problems mit Hilfe der Bornschen Näherung ergibt, dass die Rutherfordsche Streuformel in erster Ordnung korrekt ist und quantenmechanische Effekte nur kleine Korrekturen darstellen. Ein weiteres Problem der Rutherfordschen Formel ist der Grenzfall Herleitung der Rutherford-StreuformelAufgrund der abstoßenden Wirkung der Coulombkraft
Die große Halbachse a der Hyperbel lässt sich aus dem Ansatz bestimmen, wobei 2a der minimale Abstand des Alphateilchens ist, wenn es zentral mit dem Kern stößt. a ist von der kinetischen Energie abhängig und kann auch für Stöße, die nicht zentral sind, übernommen werden.
Der Stoßparameter b ist der minimale Abstand des Alphateilchens zum Kern, wenn es auf einer Geraden weiter fliegen würde. Tatsächlich wird das Alphateilchen um den Winkel
und damit Durch Ableitung der letzten Formel erhält man einen Zusammenhang zwischen der Breite db eines Hohlkegels und der zugehörigen Breite
Sei
Die Wahrscheinlichkeit
dN gibt die Anzahl der Teilchen in den Raumwinkel dΩ an.
Oft wird die Streuformel mit Hilfe des differentiellen Wirkungsquerschnitts Es gilt
Bemerkungen 1) Eine Wahrscheinlichkeitsverteilung für
2) Das Integral über die Wahrscheinlichkeitsverteilung
3) Ähnliches für die Flächenintegrale
Literatur
Kategorien: Atomphysik | Kernphysik |
|||||||||||||||||
| Dieser Artikel basiert auf dem Artikel Rutherford-Streuung aus der freien Enzyklopädie Wikipedia und steht unter der GNU-Lizenz für freie Dokumentation. In der Wikipedia ist eine Liste der Autoren verfügbar. |




im Raumwinkel
, für die der differentielle Wirkungsquerschnitt unendlich groß wird. Kleine Winkel entsprechen jedoch einem großen Stoßparameter. Bei sehr großen Stoßparametern schirmen die Atomelektronen den Kern jedoch ab. Die einzige Möglichkeit sehr kleine Winkel bei kleinen Stoßparametern zu haben, ist die Energie der α-Teilchen zu erhöhen. Für sehr hohe Energien kann die Ladungsverteilung des Atomkerns jedoch nicht mehr als punktförmig angenommen werden. Dann geht der
.
des Ablenkwinkels
die Teilchendichte (n Atome pro Volumen V) des Streumaterials und x die Dicke der Folie, so gibt
die durchschnittliche Querschnittsfläche pro Atom an, die das Alphateilchen beim Durchgang durch die Folie erfährt.
im Ring des Hohlzylinders zu landen ergibt sich dann aus
.
.
So ergibt sich für die Wahrscheinlichkeit
angegeben. Er ist ein Maß für die gleiche Wahrscheinlichkeit.
und damit
.
gibt. Dieser wird angenommen, wenn sich das Alphateilchen im Abstand
und
.
.
und