Um alle Funktionen dieser Seite zu nutzen, aktivieren Sie bitte die Cookies in Ihrem Browser.
my.chemie.de
Mit einem my.chemie.de-Account haben Sie immer alles im Überblick - und können sich Ihre eigene Website und Ihren individuellen Newsletter konfigurieren.
- Meine Merkliste
- Meine gespeicherte Suche
- Meine gespeicherten Themen
- Meine Newsletter
Wiener-IndexDer Wiener-Index – benannt nach Harry Wiener[1] – ist der älteste topologische Deskriptor, welcher die Struktur eines Moleküls in einer Zahl abbildet. Produkt-Highlight
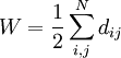
Formulierung
W: Wiener-Index Der Faktor 1/2 besagt, dass jeder Weg nur einmal in den Index eingeht. VerwendungDer Wiener-Index wird in den Methoden der QSPR (Quantitative Struktur-Eigenschaft-Beziehung) verwendet, um Stoffeigenschaften wie zum Beispiel den Sättigungsdampfdruck mit der Molekülstruktur zu korrelieren. Da der Wiener-Index nicht zwischen verschiedenen Atomen unterscheidet, kann er nur innerhalb einer homologen Reihe sinnvoll verwendet werden. Beispielrechnung
Beispielwerte
An diesen vier Beispielen mit identischer Summenformel (C6H14) wird deutlich, dass der Wiener-Index ohne Verzweigung am höchsten ist und mit zunehmender Verzweigung in der Molekülstruktur kleiner wird; bei gleicher Anzahl von Verzweigungen wird er mit zunehmender Molekülsymetrie kleiner. Berechnung der Maximalwerte für WDer für das jeweils unverzweigte Molekül geltende maximale Wiener-Index lässt sich aus der Gesamtzahl der „Nicht-H“-Atome (n) leicht wie folgt errechnen:
Beispiele für
Als vereinfachte Berechnungsformel kann man Tabelle der Maximalwerte für Wbis n = 21:
Literatur
|
||||||||||||||||||||||||||||||||||||||||||||||||||||||||||||||||||||||||||||||||||||||||||||||||||||||||||||||||||||||||||||||||||||||||||||||||||||||||||||||
| Dieser Artikel basiert auf dem Artikel Wiener-Index aus der freien Enzyklopädie Wikipedia und steht unter der GNU-Lizenz für freie Dokumentation. In der Wikipedia ist eine Liste der Autoren verfügbar. |




verwenden.