Um alle Funktionen dieser Seite zu nutzen, aktivieren Sie bitte die Cookies in Ihrem Browser.
my.chemie.de
Mit einem my.chemie.de-Account haben Sie immer alles im Überblick - und können sich Ihre eigene Website und Ihren individuellen Newsletter konfigurieren.
- Meine Merkliste
- Meine gespeicherte Suche
- Meine gespeicherten Themen
- Meine Newsletter
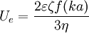
ZetapotentialDas Zeta-Potential (auch ζ-Potential) ist das elektrische Potential (auch als Coulomb-Potential bezeichnet) an der Abscherschicht eines bewegten Partikels in einer Suspension. Das elektrische Potential beschreibt die Fähigkeit eines (von einer Ladung hervorgerufenen) Feldes, Kraft auf andere Ladungen auszuüben. Produkt-HighlightUrsacheBefinden sich geladene Partikel in Suspension, wird deren Potential durch Anlagerung von Ionen im Suspensionsmedium kompensiert. Auf der Partikeloberfläche lagern sich fest gebundene Ionen in der sogenannten Helmholtz-Schicht an. Weitere Ionen lagern sich eher locker gebunden in einer diffusen, d. h. ungeordneten, Schicht an. Damit erscheint das Partikel aus großer Entfernung elektrisch neutral, weil alle Partikelladungen durch Ionen des Suspensionsmediums kompensiert werden. Bewegt sich ein Partikel, wird durch Reibung ein Teil der locker gebundenen diffusen Schicht abgeschert und das Partikel erscheint nicht mehr elektrisch neutral, sondern besitzt wieder ein Potential. Dieses Potential an der Abschergrenze wird als Zeta-Potential bezeichnet. Damit ist es bei gleichem Medium eine relative Messgröße für das Oberflächenpotential und somit für die Ladung des Partikels. Gemessen werden kann das Zeta-Potential, indem das geladene Partikel durch ein angelegtes elektrisches Feld bewegt wird. Die resultierende Geschwindigkeit ist dann ein Maß für das Zeta-Potential. Die Differenz des elektrischen Potentials an zwei Orten ist die elektrische Spannung. Ue sei die elektrophoretische Mobilität, ZusammenhängeIm Zusammenhang mit dem Zeta-Potential wird das Oberflächenpotential ψ0 oft als Nernst-Potential bezeichnet und nicht wie sonst üblich als Gouy-Chapman-Potential.
|
| Dieser Artikel basiert auf dem Artikel Zetapotential aus der freien Enzyklopädie Wikipedia und steht unter der GNU-Lizenz für freie Dokumentation. In der Wikipedia ist eine Liste der Autoren verfügbar. |




die