Um alle Funktionen dieser Seite zu nutzen, aktivieren Sie bitte die Cookies in Ihrem Browser.
my.chemie.de
Mit einem my.chemie.de-Account haben Sie immer alles im Überblick - und können sich Ihre eigene Website und Ihren individuellen Newsletter konfigurieren.
- Meine Merkliste
- Meine gespeicherte Suche
- Meine gespeicherten Themen
- Meine Newsletter
Eötvössche Regel
Produkt-HighlightDie nach dem ungarischen Physiker Loránd (Roland) Eötvös (1848-1919) benannte Eötvössche Regel erlaubt es, die Oberflächenspannung eines beliebigen flüssigen Reinstoffes bei allen Temperaturen vorherzusagen. Dazu muss lediglich die Dichte, die Molmasse und die kritische Temperatur der Flüssigkeit bekannt sein. Am kritischen Punkt ist die Oberflächenspannung Null. Die erste Aussage der Regel ist: 1. Die Oberflächenspannung hängt linear von der Temperatur ab.
Die Eötvös-Gleichung beschreibt aber nicht nur die Abhängigkeit der Oberflächenspannung einer Flüssigkeit von der Temperatur, sondern trifft darüber hinaus auch eine weitere wesentliche und umfassendere Aussage: 2. Die Temperaturabhängigkeit der Oberflächenspannung kann für alle Flüssigkeiten so aufgetragen werden, dass sich dabei näherungsweise immer dieselbe Gerade ergibt. Dazu muss entweder die Molmasse und die Dichte der Flüssigkeit oder ihr Molvolumen bekannt sein.
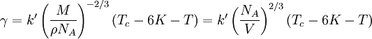
Die Eötvös-GleichungIst V das molare Volumen und Tc die kritische Temperatur der Flüssigkeit, so ist ihre Oberflächenspannung γ nach der einfachen Eötvös-Gleichung k ist nach Eötvös eine für alle Flüssigkeiten gültige Konstante. Die Eötvös-Konstante hat einen Wert von 2,1 10-7 J/K mol-2/3, was im manchmal noch gebräuchlichen cgs-System 2,1 erg/K mol-2/3 entspricht. Etwas genauere Werte erhält man, wenn man berücksichtigt, dass die Gerade in der Regel schon 6 K vor dem kritischen Punkt die Temperaturachse schneidet: Das molare Volumen V ist gegeben durch die Molmasse M und die Dichte ρ Der Term γV2 / 3 wird auch als "molare Grenzflächenspannung" γmol bezeichnet: Eine sinnvolle Darstellung, die das ungünstige Auftreten der Einheit mol-2/3 vermeidet, wird mit Hilfe der Avogadro-Konstanten NA erhalten: Wie John Lennard-Jones und Corner 1940 mit der statistischen Mechanik gezeigt haben, ist die Konstante k' ungefähr gleich der Boltzmannkonstante. WasserFür Wasser gilt die Gleichung HistorischesEötvös begann schon als Student, sich mit der Oberflächenspannung zu befassen. Er entwickelte eine neue Art und Weise, die Oberflächenspannung zu bestimmen, die Reflexionsmethode. Die Eötvös-Gleichung wurde zunächst rein phänomenologisch gefunden und 1886 veröffentlicht. 1893 zeigten William Ramsay und Shields die verbesserte Version, die berücksichtigt, dass die Gerade in der Regel schon vor dem kritischen Punkt die Temperaturachse schneidet. John Lennard-Jones und Corner publizierten 1940 eine Herleitung der Gleichung mit der statistischen Mechanik. E. A. Guggenheim gab 1945 eine weitere Variante der Gleichung bekannt. Kategorien: Physikalische Chemie | Stoffeigenschaft |
| Dieser Artikel basiert auf dem Artikel Eötvössche_Regel aus der freien Enzyklopädie Wikipedia und steht unter der GNU-Lizenz für freie Dokumentation. In der Wikipedia ist eine Liste der Autoren verfügbar. |



