Um alle Funktionen dieser Seite zu nutzen, aktivieren Sie bitte die Cookies in Ihrem Browser.
my.chemie.de
Mit einem my.chemie.de-Account haben Sie immer alles im Überblick - und können sich Ihre eigene Website und Ihren individuellen Newsletter konfigurieren.
- Meine Merkliste
- Meine gespeicherte Suche
- Meine gespeicherten Themen
- Meine Newsletter
MolmassenverteilungDie Molmassenverteilung bezeichnet für einen bestimmten Stoff die Verteilung, sprich die anteilsmäßige Aufteilung der molaren Masse der enthaltenen Moleküle. Der Begriff wird sinnvollerweise nur bei Polymeren angewandt, da deren Polymerisationsgrade (und somit auch deren Molmassen) über einen mehr oder weniger breiten Bereich verteilt sind. Bei bestimmten Biopolymeren gibt es nur eine definierte molare Masse. Weitverbreitet ist auch die Bezeichnung Molekulargewichtsverteilung, diese ist aber nicht korrekt (siehe Anmerkung hier). Produkt-Highlight
VerteilungsfunktionenEntsprechend den Verteilungsfunktionen aus der Mathematik bzw. den physikalisch-chemischen Gegebenheiten bei der Herstellung des Polymers ergeben sich verschiedene mögliche Verteilungsfunktionen:
In der Praxis können natürlich auch von diesen theoretischen Modellen abweichende Verteilungen auftauchen. Oft findet man die Bezeichnungen:
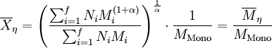
Molmasse von PolymerenEs werden verschiedene Mittelwerte definiert, um die Probe statistisch zu beschreiben:
Die Molmasse Mi des i-mers wird mit dem relativen Zahlenanteil, den dieses Polymer hat, gewichtet.
Die Molmasse Mi des i-mers wird mit dem relativen Massenanteil, den dieses Polymer hat, gewichtet.
α kann Werte zwischen 0 und 1 annehmen.
BestimmungsmethodenFolgende Analysenmethoden haben sich zur Bestimmung der Molmassenverteilung bewährt:
PolydispersitätPhysikalische, mechanische und rheologische Eigenschaften werden oft durch die Polymolekularität (das Verhältnis von Gewichtsmittel zu Zahlenmittel) bestimmt.
Das Verhältnis aus Zahlenmittel Mittlerer PolymerisationsgradAllgemein erhält man den mittleren Polymerisationsgrad durch Division des mittleren Molekulargewichtes durch das Molekulargewicht des Monomeren. Bei nicht radikalischer Polymerisation muss beachtet werden, ob und welche Gruppen bei der Bindung eines Monomeren abgespalten werden, und dies muss in den Berechnungen berücksichtigt werden. Ebenso gelten die folgenden Formeln nicht für Copolymerisationen. ZahlenmittelGewichtsmittelViskositätsmittelMolekulare UneinheitlichkeitDie molekulare Uneinheitlichkeit Q ist ein mathematisches Maß für die Uneinheitlichkeit eines Polymerisats, bzw. für die Breite der Molekulargewichtsverteilung. Je kleiner dieser Wert ist, umso einheitlicher ist das Polymerisat, umso enger ist die Molekulargewichtsverteilung. Literatur
Kategorien: Makromolekulare Chemie | Chemische Größe |
|
| Dieser Artikel basiert auf dem Artikel Molmassenverteilung aus der freien Enzyklopädie Wikipedia und steht unter der GNU-Lizenz für freie Dokumentation. In der Wikipedia ist eine Liste der Autoren verfügbar. |




=

=
=




und der mittleren Molmasse einer monomeren Einheit