Um alle Funktionen dieser Seite zu nutzen, aktivieren Sie bitte die Cookies in Ihrem Browser.
my.chemie.de
Mit einem my.chemie.de-Account haben Sie immer alles im Überblick - und können sich Ihre eigene Website und Ihren individuellen Newsletter konfigurieren.
- Meine Merkliste
- Meine gespeicherte Suche
- Meine gespeicherten Themen
- Meine Newsletter
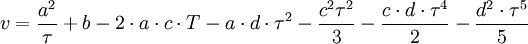
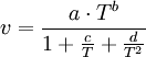
DIPPR-GleichungenDie DIPPR-Gleichungen sind im DIPPR 801-Projekt definierte Gleichungen zur Beschreibung der Temperaturabhängigkeit diverser wichtiger chemischer Stoffeigenschaften. Sie sind der Industriestandard in vielen Anwendungen, bei denen Stoffdaten zur Optimierung und zum Entwurf chemischer Prozesse benötigt werden (Prozesssynthese, -simulation und -entwicklung). Die DIPPR-801-Datenbank enthält Parametersätze für etwa 2000 Stoffe. Produkt-HighlightGleichungsformen
a, b, c, d und e sind anpassbare Parameter, die durch Anpassen an experimentelle Daten ermittelt werden. Gleichungen ohne explizite Nennung einer Eigenschaft werden im allgemeinen nur für bestimmte Stoffe und Eigenschaften verwendet, wenn die Standardgleichung unzureichend ist. Siehe auch
Kategorien: Thermodynamik | Stoffeigenschaft | Sättigungsdampfdruckgleichungen |
| Dieser Artikel basiert auf dem Artikel DIPPR-Gleichungen aus der freien Enzyklopädie Wikipedia und steht unter der GNU-Lizenz für freie Dokumentation. In der Wikipedia ist eine Liste der Autoren verfügbar. |



