Um alle Funktionen dieser Seite zu nutzen, aktivieren Sie bitte die Cookies in Ihrem Browser.
my.chemie.de
Mit einem my.chemie.de-Account haben Sie immer alles im Überblick - und können sich Ihre eigene Website und Ihren individuellen Newsletter konfigurieren.
- Meine Merkliste
- Meine gespeicherte Suche
- Meine gespeicherten Themen
- Meine Newsletter
Einstein-GleichungIm Bereich der kinetischen Gastheorie bezeichnet die Einstein-Gleichung eine Beziehung, die Einstein in seiner 1905 erschienenen Schrift zur Brownschen Bewegung aufdeckte:
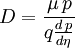
Produkt-HighlightDie Gleichung verknüpft D, den Diffusionskoeffizienten, und μ, die Beweglichkeit der Teilchen. kB bezeichnet die Boltzmannkonstante und T die Absolute Temperatur. Es handelt sich um ein frühes Beispiel für eine Fluktuations-Dissipations-Beziehung. Diffusion von TeilchenIn Bereichen mit niedriger Reynolds-Zahl ist die Beweglichkeit μ der Kehrbruch des Strömungskoeffizienten γ. Für kugelförmige Teilchen mit Radius r liefert die Stokessche Gleichung wobei η die Viskosität des Mediums bezeichnet. Die Einstein-Gleichung lässt sich somit umformen in Diese Form wird auch Stokes-Einstein-Gleichung genannt. Sie kann genutzt werden um den Diffusionskoeffizienten eines globulären Proteins in wässriger Lösung zu bestimmen: Für ein Protein von 100 kDalton erhalten wir D ~10-10 m²s-1, wobei wir eine Dichte von ~1,2 103 kg m-3 annehmen. Elektrische LeitfähigkeitAuf die elektrische Leitfähigkeit bezogen teilt man für gewöhnlich durch die Ladung q des Ladungsträgers und definiert die Elektronenbeweglichkeit wobei E das wirkende elektrische Feld ist. Die Einstein-Gleichung wird somit zu Für einen Halbleiter mit beliebiger Zustandsdichte lautet die Einstein-Gleichung mit dem chemischen Potential η und der Teilchenzahl p. Siehe auchEine andere Gleichung, die ebenfalls Einstein-Gleichung genannt wird: Photoelektrischer Effekt |
| Dieser Artikel basiert auf dem Artikel Einstein-Gleichung aus der freien Enzyklopädie Wikipedia und steht unter der GNU-Lizenz für freie Dokumentation. In der Wikipedia ist eine Liste der Autoren verfügbar. |



