Um alle Funktionen dieser Seite zu nutzen, aktivieren Sie bitte die Cookies in Ihrem Browser.
my.chemie.de
Mit einem my.chemie.de-Account haben Sie immer alles im Überblick - und können sich Ihre eigene Website und Ihren individuellen Newsletter konfigurieren.
- Meine Merkliste
- Meine gespeicherte Suche
- Meine gespeicherten Themen
- Meine Newsletter
| Elektromagnetischer FeldstärketensorDer elektromagnetische Feldstärketensor (auch Faraday-Tensor oder einfach Feldstärketensor) ist eine physikalische Größe, die in der Elektrodynamik das elektromagnetische Feld als Feld in der Raumzeit beschreibt. Er wurde 1908 von Hermann Minkowski im Rahmen der Relativitätstheorie eingeführt. Die aus Physik und Technik bekannten vektoriellen Feldgrößen wie elektrische und magnetische Feldstärke lassen sich aus dem Feldstärketensor ableiten. Die Bezeichnung Tensor für die Art dieser Größe ist eine Abkürzung, tatsächlich handelt es sich um ein Tensorfeld, also einen von Punkt zu Punkt variierenden Tensor. Produkt-Highlight
 DefinitionDer elektromagnetische Feldstärketensor ist gewöhnlich definiert durch das Vektorpotential: z. B. mit dem klassischen Vektorpotential Die obige Definition ist auch für die Quantenelektrodynamik gültig. Dort ist einfach nur das Vektorpotential operatorwertig. Es handelt sich um einen Spezialfall der Feldstärketensor-Definition einer allgemeinen Eichtheorie. Eigenschaften und FormelnDer Feldstärketensor besitzt folgende Eigenschaften: 
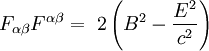
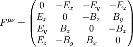
 Hier einige häufig auftretenden Kontraktionen: In der Lagrangedichte tritt dieser Lorentz-invariante Term auf: Von Interesse ist auch die mit dem Levi-Civita-Symbol gebildete, pseudoskalare Invariante: In einigen Rechnungen kommt auch diese Größe vor: Der Energie-Impuls-Tensor  Darstellung als MatrixDie Matrixdarstellung des Feldstärketensors ist koordinatenabhängig! In einer flachen Raumzeit (also mit Minkowski-Metrik) und kartesischen Koordinaten kann er geschrieben werden als: (Diese Matrix wird gelegentlich ebenfalls kurz als Tensor bezeichnet, ist aber nicht der Tensor selbst). Es ist gebräuchlich, auch den dualen elektromagnetischen Feldtensor zu definieren: Damit lassen sich sowohl die homogenen, als auch die inhomogenen Maxwellgleichungen kompakt aufschreiben: wobei der folgende Viererstrom verwendet wurde: Darstellung in DifferentialformschreibweiseIm Folgenden wird das CGS-System verwendet, um die fundamentalen Zusammenhänge klarer herauszuarbeiten Der Feldstärketensor F ist eine Differentialform zweiter Stufe auf der Raumzeit.
Die Maxwellschen Gleichungen lauten in Differentialformschreibweise
 Da in der Regel von der Abwesenheit magnetischer Ladungen ausgegangen wird, ist dF = 0, und der Feldstärketensor kann somit als Ableitung F = dA einer 1-Form A dargestellt werden. A entspricht dem raumzeitlichen Vektorpotential. Bei Anwesenheit magnetischer Ladungen nimmt man ein weiteres Vektorpotential hinzu, dessen Quelle die magnetische Stromdichte ist. Beispiel: der Feldstärketensor einer Punktladung q ist  Die 4-Form  Ableitung der vektoriellen FeldgrößenRelativ zur Bewegung eines Beobachters durch Raum und Zeit kann der Feldstärketensor in einen elektrischen und einen magnetischen Anteil zerlegt werden. Der Beobachter nimmt diese Anteile als elektrische beziehungsweise magnetische Feldstärke wahr. Unterschiedliche zueinander bewegte Beobachter können daher unterschiedliche elektrische oder magnetische Feldstärken wahrnehmen. Beispiel: Wird in einem elektrischen Generator relativ zu einem „magnetischen“ Feld ein Draht bewegt, dann hat der Feldstärkentensor bei Zerlegung relativ zur Drahtbewegung und somit aus Sicht der im Draht enthaltenen Elektronen auch einen elektrischen Anteil, der für die Induktion der elektrischen Spannung verantwortlich ist. In flacher Raumzeit (Minkowski-Raum) lassen sich die Vektorfelder  Auftreten in der QuantenelektrodynamikDer Feldstärketensor tritt direkt in der QED-Lagrangedichte (hier ohne Eichfixierungsterme) auf: Literatur
 Quellen
 | |
| Dieser Artikel basiert auf dem Artikel Elektromagnetischer_Feldstärketensor aus der freien Enzyklopädie Wikipedia und steht unter der GNU-Lizenz für freie Dokumentation. In der Wikipedia ist eine Liste der Autoren verfügbar. | 

 
                                             
                                        


 
 
 
 
 
 der allgemeinen Relativitätstheorie wird aus
 der allgemeinen Relativitätstheorie wird aus  gebildet:
 gebildet:
 
 
![\tilde{F}^{\mu\nu} := \frac{1}{2}\, \varepsilon^{\mu\nu\alpha\beta}\,F_{\alpha\beta}        \quad \Rightarrow \quad        \tilde{F}^{\alpha\beta} = \left[\begin{matrix}                    0  & -B_x & -B_y & -B_z \\                   B_x &   0  &  E_z & -E_y \\                   B_y & -E_z &   0  &  E_x \\                   B_z &  E_y & -E_x &   0  \\        \end{matrix}\right]](images/math/0/f/b/0fb1cbe750124e980b5fc0a7a4aa1394.png) 
 
 
 und
und
 mit der magnetischen Stromdichte
mit der magnetischen Stromdichte  mit dem Abstand
 mit dem Abstand  ist die Lagrange-Dichte des elektromagnetischen Feldes.
 ist die Lagrange-Dichte des elektromagnetischen Feldes.
 und
 und   aus der Koordinatendarstellung
 aus der Koordinatendarstellung  des Feldstärketensors ablesen:
man erhält die obige Matrixdarstellung.
Eine allgemeingültigere Beziehung ergibt sich aus der Zerlegung
 des Feldstärketensors ablesen:
man erhält die obige Matrixdarstellung.
Eine allgemeingültigere Beziehung ergibt sich aus der Zerlegung
 , wo
, wo ![\mathcal{L}_{QED}=\bar{\psi}\left[ i\gamma_{\mu}D^{\mu}-m\right] \psi -\frac{1}{4}F_{\mu\nu }F^{\mu \nu }](images/math/0/b/5/0b5b348d6deb27b4006d21d6d94f12f6.png) 
 
                                      






 
    