Um alle Funktionen dieser Seite zu nutzen, aktivieren Sie bitte die Cookies in Ihrem Browser.
my.chemie.de
Mit einem my.chemie.de-Account haben Sie immer alles im Überblick - und können sich Ihre eigene Website und Ihren individuellen Newsletter konfigurieren.
- Meine Merkliste
- Meine gespeicherte Suche
- Meine gespeicherten Themen
- Meine Newsletter
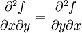
Maxwell-BeziehungDie nach dem Physiker James Clerk Maxwell benannten Maxwell-Beziehungen oder Maxwell-Relationen stellen wichtige Zusammenhänge zwischen verschiedenen Größen her. Produkt-HighlightThermodynamikDie maxwellschen Beziehungen der Thermodynamik erlauben es, Änderungen der Zustandsgrößen (z.B. Temperatur T oder Entropie S) als Änderungen anderer Zustandsgrößen (z.B. Druck p oder Volumen V) auszudrücken. Diese Beziehungen können hergeleitet werden, indem man von den Zustandsfunktionen Innere Energie U, Enthalpie H, Freie Energie F oder Freie Enthalpie G ausgeht und deren totales Differential betrachtet, siehe Charakteristische Funktion (Physik). Nach dem Satz von Schwarz müssen die gemischten zweiten partiellen Differentialquotienten einer Zustandsfunktion f einander gleich sein:
Guggenheim-Schema
Zum Praktischen Arbeiten kann man das sogenannte Guggenheim-Schema benutzen. Hieraus erhält man alle oben genannten Maxwell-Relationen.
Man findet die Relation indem man aus den Ecken einer (horizontalen oder vertikalen) Seite des Schemas zwei Variablen abliest, damit eine Seite der Maxwellgleichung formuliert und die andere Seite der Gleichung aus der gegenüberliegenden Seite in gleicher Weise entnimmt. (z.B.: Man entnimmt S und p daraus folgt der Ausdruck dS/dp. Gegenüber liegen dann V und T, was zu dem Ausdruck dV/dT führt). Wenn man auf einer Seite des Gleichheitszeichen S und p stehen hat kommt ein Minus vor die Relation(in o.g. Beispiel -(dS/dp)=(dV/dT)). Merksprüche für das Schema:
ElektrodynamikDie Maxwellsche Beziehung der Elektrodynamik verbindet die Brechzahl n mit der relativen Dielektrizitätskonstante εr. Sie ist eine zentrale Gleichung der Elektrodynamik. Im einfachsten Fall lautet sie n ≈ √εr Siehe auch: Maxwellsche Gleichungen |
| Dieser Artikel basiert auf dem Artikel Maxwell-Beziehung aus der freien Enzyklopädie Wikipedia und steht unter der GNU-Lizenz für freie Dokumentation. In der Wikipedia ist eine Liste der Autoren verfügbar. |



