Um alle Funktionen dieser Seite zu nutzen, aktivieren Sie bitte die Cookies in Ihrem Browser.
my.chemie.de
Mit einem my.chemie.de-Account haben Sie immer alles im Überblick - und können sich Ihre eigene Website und Ihren individuellen Newsletter konfigurieren.
- Meine Merkliste
- Meine gespeicherte Suche
- Meine gespeicherten Themen
- Meine Newsletter
InduktivitätDie Induktivität (auch Eigeninduktivität oder Selbstinduktion) ist eine elektrische Eigenschaft eines stromdurchflossenen elektrischen Leiters aufgrund des ihn umgebenden durch den Stromfluss hervorgerufenen Magnetfeldes. Sie gibt das Verhältnis zwischen dem mit dem Leiter verketteten magnetischen Fluss und dem durch den Leiter fließenden Strom an. Die Wirkung der Eigeninduktivität ist z.B. eine Selbstinduktionsspannung entlang der Leiterschleife bei einer zeitlichen Stromänderung in der Leiterschleife. Des Weiteren wird zwischen innerer und äußerer Induktivität unterschieden. Elektrische Bauelemente, die als wesentliche elektrische Eigenschaft eine bestimmte Induktivität aufweisen, werden als Drosseln oder als Spulen bezeichnet. (siehe auch: Kategorie:Induktanz). Zweipole und elektrische Verbraucher werden als induktiv bezeichnet, wenn ein sie durchfließender, zeitlich veränderlicher Strom über deren Klemmen eine zur Änderungsgeschwindigkeit proportionale Spannung hervorruft. Andere verwandte Anwendungsgebiete, in denen die Induktivität eine indirekte Rolle spielt, sind elektrische Maschinen wie beispielsweise Transformatoren oder Elektromotoren. Produkt-Highlight
DefinitionWenn ausschließlich magnetische Stoffe mit einer konstanten Permeabilitätszahl in der Umgebung des Stromkreises vorhanden sind, dann folgt aus dem Durchflutungsgesetz, dass die magnetische Flussdichte dem Strom i in einer Leiterschleife proportional ist. Daher ist auch der insgesamt vom Strom i erzeugte magnetischer Fluss Φg direkt proportional dem Momentanwert der Stromstärke i. Der dabei auftretende Proportionalitätsfaktor bei N Leiterschleifen wird als Induktivität L bezeichnet: Die Maßeinheit für die Induktivität ist im SI-Einheitensystem das Henry, benannt nach dem US-amerikanischen Physiker Joseph Henry. Abgekürzt wird die Einheit mit H. Betragsmäßig liegt eine Induktivität von 1 H dann vor, wenn bei gleichförmiger Stromänderung von einem Ampere in einer Sekunde eine Selbstinduktionsspannung von einem Volt entlang des Leiters entsteht. Anmerkung: Weisen die magnetischen Stoffe in der Nähe des elektrischen Leiters keine konstante Permeabilitätszahl auf, sondern ist die Permeabilitätszahl beispielsweise von der magnetischen Flussdichte abhängig, dann ist die Induktivität kein konstanter Proportionalitätsfaktor sondern eine Funktion L(B) der magnetischen Flussdichte. Dies wird auch als Sättigungsmagnetisierung bezeichnet. Die Folgen daraus sind nichtlineare Induktivitäten, die analytisch wesentlich schwieriger zu behandeln sind. InduktionAusgehend vom Induktionsgesetz, wonach die Umlaufspannung ui einer geschlossenen Leiterschleife gleich der zeitlichen Änderungsrate des durch diese Schleife hindurchtretenden magnetischen Flusses Φg ist, wobei das dabei auftretende negative Vorzeichen eine Festlegung ist, lässt sich mit obiger Definition der Induktivität die Beziehung von Spannung ui als Funktion des Stromes i als Differentialgleichung ausdrücken: Der dabei auftretende magnetische Fluss Φg ist jener Fluss, der erst durch den Strom i durch die Leiterschleife erzeugt wird. Weitere externe magnetische Flüsse durch die Leiterschleife sind in diesem Fall als nicht vorhanden angenommen bzw. zeitlich konstant. Die Spannung ui nennt man auch selbstinduzierte Quellenspannung.
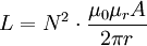
Das Minuszeichen in obiger Gleichung ist abhängig von der Zählrichtung von Strom und Spannung - sind beide rechtsschraubig mit dem magnetischen Fluss verknüpft, spricht man vereinbarungsgemäß vom Generatorzählpfeilsystem. Führt man eine Spannung u ein, deren Richtung mit der Richtung des Stromes entlang der Leiterschleife übereinstimmt, wie in nebenstehender Grafik dargestellt, lässt sich die Gleichung im Verbraucherzählsystem schreiben als: Man bezeichnet diesen bei Stromänderung entstehenden Spannungsabfall u dann als Selbstinduktionsspannung oder induktiven Spannungsabfall. Die obige Differentialgleichung ist die Elementgleichung, mit der sich lineare Induktivitäten, wie beispielsweise Spulen in elektrischen Schaltungen, beschreiben lassen. Induktivitätsbestimmung verschiedener LeiteranordnungenDurch Anwendung der Berechnungsmethoden für magnetische Felder, insbesondere des Biot-Savart-Gesetzes, lassen sich für einige einfache geometrische Leiteranordnungen die äußeren Induktivitäten analytisch bestimmen. Kompliziertere Leiteranordnungen sind in der Feldberechnung meist nur noch mittels numerischer Berechnungsverfahren zugänglich. Die im Folgenden näher dargestellten Leiteranordnungen haben auch technische Bedeutung, mit dem Ziel, elektrische Bauteile mit definierter und bekannter Induktivität herzustellen. Diese Bauelemente werden Spulen oder Drossel genannt. Induktivität einer RingspuleEine Ringspule, auch als Toroidspule bezeichnet, besteht aus einem Ring mit dem mittleren Radius r und Querschnittsfläche A aus einem magnetisch gut leitfähigen Material mit hoher relativer Permeabilitätszahl µr, wie beispielsweise einem Ferrit gebildet. Die dabei auftretende Naturkonstante µ0 ist die magnetische Feldkonstante. Dieser ringförmige Kern wird mit einem dünnen Draht mit N Windungen bewickelt. Die Induktivität L ist dann in Näherung gegeben in der Form: Eine bessere Näherung für die Induktivität einer Ringspule, welche die Abhängigkeit der magnetischen Feldstärke als Funktion des Radius beachtet, lautet: Dabei wird ein rechteckförmiger Querschnitt des Ringes mit der Breite b angenommen. Der äußere Radius des Kerns ist mit R und der Innenradius mit r bezeichnet. In allen Fällen gilt, dass diese Gleichungen nur bei hinreichend dünnem Draht gute Näherungsergebnisse liefern. Induktivität einer ZylinderspuleBei einer zylinderförmigen Spule, deren Länge l sehr groß gegenüber dem Durchmesser des Querschnitts A ist, lässt sich die Induktivität folgendermaßen bestimmen: Dabei wird neben der Voraussetzung eines dünnen elektrischen Leiters der magnetische Widerstand des Außenraumes vernachlässigt. Diese Gleichung gilt also ebenfalls nur in Näherung. In der Praxis wird der Ausdruck daher meist mit einem empirisch ermittelten und tabellierten Spulenfaktor f multipliziert, der im Bereich von 0…1 liegt und die Streuverluste im Außenraum der Spule beachtet. Für kürzere Zylinderspulen existieren Approximationsformeln, die die endliche Länge der Spule und damit die „schlechtere“ magnetische Feldführung in ihrem Inneren berücksichtigen. Für eine Spule, deren Länge noch mindestens das 0,6-fache des Radius beträgt, gilt (rw: Windungsradius) Bestimmung der Induktivität mittels AL-WertIn der Praxis werden oft fertige Spulenkerne verwendet, für die häufig vom Hersteller eine Induktivitätskonstante AL (Al-Wert) angegeben wird. In diesem Wert sind bereits alle Materialkonstanten und die spezielle Geometrie der Anordnung als Näherung zusammengefasst. Wenn man den Kern mit N Windungen bewickelt, erhält man eine Spule mit der Induktivität:
FeldenergieInduktive Bauelemente wie Spulen speichern Energie in Form ihres Magnetfeldes. Das Magnetfeld einer Spule der Induktivität L, die vom Momentanwert des Stromes I durchflossen wird, enthält die Energie W: Bei einer plötzlichen Unterbrechung des Stromkreises, muss sich die in der Spule gespeicherte Energie in sehr kurzer Zeit umsetzen und ergibt an den Anschlussklemmen eine sehr hohe Selbstinduktionspannung, die zu Beschädigungen an der Isolation oder anderen Schaltungsteilen führen kann. Um dies zu vermeiden, werden induktive Bauelemente vor dem Abschalten meist mit einem Lastwiderstand kurzgeschlossen, in dem sich die im magnetischen Feld gespeicherte Energie thermisch umsetzt. Andere Methoden zur thermischen Umsetzung bei Umschaltvorgängen sind die in Gleichspannungskreisen verwendeten Schutzdioden. Innere und äußere InduktivitätDer Begriff Äußere Induktivität wird für den Beitrag des im Raum außerhalb des elektrischen Leiters auftretenden magnetischen Flusses zur Induktivität verwendet. In obigen Beispielen zur Bestimmung der Induktivität verschiedener geometrischer Leiteranordnungen wurden die Querschnitte der elektrischen Leiter als vernachlässigbar dünn angenommen. In diesem Fall kann sich die Bestimmung der Induktivität auf die Bestimmung der äußeren Induktivität bzw. einer idealisierten Feldform beschränken. Besitzt der elektrische Leiter (Draht) hingegen eine nicht vernachlässigbare räumliche Ausdehnung, eine entsprechende Querschnittsfläche, tritt auch eine magnetische Flussdichteverteilung innerhalb des Leiters auf. Die davon abgeleitete Induktivität wird als innere Induktivität bezeichnet. Im einfachsten Fall einer gleichmäßigen Stromverteilung über den Querschnitt des Leiters mit der Länge l lässt sich die innere Induktivität mit folgender Gleichung bestimmen: Bemerkenswert daran ist, dass die innere Induktivität nicht von den konkreten geometrischen Abmessungen wie Durchmesser der Querschnittsfläche des Leiters abhängt. Jener Ausdruck gilt nur bei gleichmäßiger Stromverteilung, also nur bei Gleichstrom, und nur wenn die Querschnittsfläche des Leiters keine inneren Begrenzungen aufweist. Ist die Stromverteilung aufgrund des Skineffektes bei höheren Frequenzen nicht mehr gleichmäßig, ergeben sich andere, komplexere Ausdrücke für die frequenzabhängige innere Induktivität. Die inneren Induktivitäten sind wegen der Stromverdrängung im Leiter stark frequenzabhängig und nehmen mit steigender Frequenz ab. Die innere Induktivität ist vor allem bei der Bestimmung der Gesamtinduktivität von elektrischen Kabeln von Bedeutung, da bei diesen bei niedrigen Frequenzen (z.B. Netzfrequenz) die Leiterquerschnitte oft nicht vernachlässigt werden können. Induktivität einer KoaxialleitungZur Bestimmung der Induktivität eines Koaxialkabels der Länge l (sog. Induktivitätsbelag) sind bei niedrigen Frequenzen die inneren Induktivitäten des inneren Leiters Lii und des äußeren Leiters Lia zu berücksichtigen. Hauptsächlich wirkt jedoch die Induktivität La des konzentrischen Raumes zwischen den beiden Leitern. Die gesamte Induktivität einer koaxialen Leitung der Länge l ergibt sich aus der Summe der einzelnen Teilinduktivitäten:
Im Gleichstromfall kann für den inneren Leiter mit dem Durchmesser d obiger Ausdruck für die innere Induktivität verwendet werden: Die ebenfalls stark frequenzabhängige innere Induktivität des äußeren Leiters mit der Dicke s und den Innendurchmesser D, der als Kreisring konzentrisch angeordnet ist, kann im Gleichstromfall in guter Näherung bestimmt werden zu: Die frequenzunabhängige äußere Induktivität im Dielektrikum ist bei Koaxialkabeln: Bei höheren Frequenzen, ab 10 kHz aufwärts, können die beiden Terme der inneren Induktivität wegen des Skineffektes vernachlässigt werden. Für die Bestimmung des Wellenwiderstandes eines Koaxialkabels bei typischen Frequenzen ist daher nur der Summand La der äußeren Induktivität von wesentlicher Bedeutung. GegeninduktivitätDie Gegeninduktivität kennzeichnet die gegenseitige magnetische Einwirkung zweier oder mehrerer räumlich benachbarter Stromkreise. Sie wird auch als magnetische Kopplung bezeichnet. Die wichtigste technische Anwendung findet die Gegeninduktivität bei einem Transformator. Nichtlineare InduktivitätDie relative Permeabilitätszahl μr hängt als Stoffkonstante nicht nur von dem jeweiligen Material ab, sondern ist bei vielen Materialien auch von der magnetischen Flussdichte abhängig. Bei hohen magnetischen Flussdichten kommt es zu einer sogenannten magnetischen Sättigung der Materialien und als Folge einer Reduktion der relativen Permeabilitätszahl μr bis auf 1. Dadurch ist die Induktivität direkt von der magnetischen Flussdichte abhängig, die ihrerseits meist eine Funktion des durch die Spule fließenden elektrischen Stromes ist. Somit ändert sich die Induktivität einer Spule in Abhängigkeit vom Momentanwert des Stromes, der durch die Spule fließt. Die Folge davon ist, dass bei nichtlinearen Induktivitäten in Wechselspannungsanwendungen zusätzliche Oberschwingungen als nichtlineare Verzerrungen auftreten können. Auch sind bei Berechnungen mit nichtlinearen Induktivitäten die einfachen Methoden der (linearen) komplexen Wechselstromrechnung nicht mehr direkt anwendbar. Die Nichtlinearität von Induktivitäten kann erwünscht sein, z. B. bei Speicherdrosseln in Schaltreglern, um diese besser an verschiedene Lastfälle anzupassen, oder in den Ablenkschaltungen von Fernsehempfängern, um dem nichtlinearen Stromverlauf in den Ablenkspulen entgegen zu wirken. Auch bei den sogenannten Sättigungsdrosseln zur Entstörung von Thyristorstellern ist Nichtlinearität erwünscht. MessgeräteInduktivität kann nicht direkt gemessen werden. Es kann lediglich ihre Auswirkung gemessen werden. Durch Aufschalten einer bekannten Wechselspannung und Messung des durch das induktive Bauelement fließenden Wechselstromes (oder umgekehrt) kann über die Reaktanz die Induktivität ermittelt werden. Dazu werden Amplitude und Phasenlage bestimmt. Diese Methode wird in einfachen Labormessgeräten angewendet und liefert den Induktivitätswert, die Güte sowie den Wert eines äquivalenten Serien- oder Parallelwiderstandes. Durch Parallelschalten einer bekannten Kapazität zur Induktivität erhält man einen Schwingkreis. Ermittelt man dessen Resonanzfrequenz, kann man daraus auf die Induktivität schließen. Diese Methode ist auch ohne spezielle Geräte durchführbar und daher unter Bastlern und Amateuren weit verbreitet. Die Genauigkeit ist recht hoch. Für hohe Genauigkeiten wird eine Messbrücke verwendet: Maxwell-Brücke. Diese Methode ist sehr genau und wird u. a. in der automatisierten Fertigung von Spulen eingesetzt. Beim Bestimmen der Induktivitäten realer Spulen muss beachtet werden, dass je nach Spulenkonstruktion zu sehr hohen Frequenzen hin die kapazitive Kopplung der Windungen und Lagen wirksam wird. Der Impedanzverlauf steigt bis zu einem Maximalwert und bekommt Schwingkreischarakter, um zu noch höheren Frequenzen hin wieder zu sinken – die Spule stellt dann eine Kapazität dar. Induktivität als störende EigenschaftJeder elektrische Strom verursacht ein Magnetfeld (Elektromagnetismus), in dem magnetische Energie gespeichert ist. Somit besitzt jedes Stück eines elektrischen Leiters eine kleine Induktivität. Auf Leiterplatten kann als Überschlagsrechnung mit einer Induktivität von rund 1,2 nH pro Millimeter Leitungslänge gerechnet werden. Zusammengefasst ergeben diese Induktivitäten die parasitäre Aufbauinduktivität einer elektrischen Schaltung. Die Magnetfelder von nahe beieinander liegenden Leiterstücken beeinflussen sich durch die magnetische Kopplung dann gegenseitig. Liegen z. B. Hin- und Rückleitung eines Stromkreises sehr eng beieinander, heben sich deren Magnetfelder gegenseitig teilweise auf, was die Gesamtinduktivität dieser Anordnung stark verringert. Daher werden oft Strompfade eng aneinander geführt, Kabel miteinander verdrillt. Soll sich der Strom in einer induktiven Leiterschleife ändern, muss eine zur Stromänderungsgeschwindigkeit di/dt proportionale Spannung Uind wirksam sein: Häufig zum Schalten von Lasten mit induktivem Verhalten benutzte Schalter und Relais weisen deswegen deutliche Abnutzungsspuren an den Kontakten auf, die deren Funktion stark beeinträchtigen können: beim Abschalten fließt der Strom aufgrund der Induktivität weiter und bildet einen Lichtbogen (siehe Schaltlichtbogen), in den sich die in der Induktivität gespeicherte Energie entlädt. Noch kritischer sind Stromflussänderungen, die durch Halbleiterschalter hervorgerufen werden. Halbleiterbauteile werden von derart hohen Spannungen oft zerstört. Daher muss bei der Konstruktion von Schaltungen mit hohen Stromänderungsgeschwindigkeiten auf einen niederinduktiven Aufbau geachtet werden. Zusätzlich werden häufig Snubber-Netzwerke am Halbleiter angebracht. Falls möglich und nötig werden auch Freilaufdioden benutzt. Neuere Halbleiterschalter können oft auch ohne Schutzbeschaltung induktive Lasten schalten, indem der Energieabbau in einem kontrollierten Avalanchedurchbruch erfolgt. Ein weiteres Problem parasitärer Induktivitäten ist die Interaktion mit parasitären Kapazitäten. Der dadurch entstandene Schwingkreis kann störende Spannungsschwingungen erzeugen, die Halbleiterbauteilen schaden können und die Elektromagnetische Verträglichkeit und die Signalübertragungseigenschaften verschlechtern. Literatur
|
|
| Dieser Artikel basiert auf dem Artikel Induktivität aus der freien Enzyklopädie Wikipedia und steht unter der GNU-Lizenz für freie Dokumentation. In der Wikipedia ist eine Liste der Autoren verfügbar. |




.