Um alle Funktionen dieser Seite zu nutzen, aktivieren Sie bitte die Cookies in Ihrem Browser.
my.chemie.de
Mit einem my.chemie.de-Account haben Sie immer alles im Überblick - und können sich Ihre eigene Website und Ihren individuellen Newsletter konfigurieren.
- Meine Merkliste
- Meine gespeicherte Suche
- Meine gespeicherten Themen
- Meine Newsletter
QuantenfeldtheorieEine Quantenfeldtheorie (QFT) kombiniert Prinzipien klassischer Feldtheorien (zum Beispiel der Elektrodynamik) und der Quantenmechanik zur Bildung einer erweiterten Theorie. Quantenfeldtheorien gehen über die Quantenmechanik hinaus, indem sie Teilchen und Felder einheitlich beschreiben. Dabei werden nicht nur Observablen (also beobachtbare Größen) wie Energie oder Impuls quantisiert, sondern auch die wechselwirkenden (Teilchen-)Felder selbst; die Felder werden also ähnlich wie Observablen behandelt. Die Quantisierung der Felder bezeichnet man auch als Zweite Quantisierung. Diese berücksichtigt explizit die Entstehung und Vernichtung von Elementarteilchen (Paarerzeugung, Annihilation). Die Methoden der Quantenfeldtheorien kommen vor allem in der Elementarteilchenphysik und in der statistischen Mechanik zur Anwendung. Man unterscheidet dabei zwischen relativistischen Quantenfeldtheorien, die die spezielle Relativitätstheorie berücksichtigen und häufig in der Elementarteilchenphysik Anwendung finden, und nicht-relativistischen Quantenfeldtheorien, die beispielsweise in der Festkörperphysik relevant sind. Der folgende Artikel baut auf den Ausführungen des Artikels Quantenmechanik auf und hat zum Ziel, das Verständnis bezüglich der dort erwähnten Phänomene und Strukturen zu vertiefen. Produkt-Highlight
EinleitungDie Quantenfeldtheorien sind Weiterentwicklungen der Quantenphysik über die Quantenmechanik hinaus. Die vorher existierenden Quantentheorien waren ihrem Aufbau nach Theorien für Systeme mit wenigen Teilchen. Um Systeme mit vielen Teilchen zu beschreiben ist zwar prinzipiell keine neue Theorie nötig, doch die Beschreibung von 1023 Teilchen in einem Festkörper ist mit den Methoden der Quantenmechanik aufgrund des hohen Rechenaufwands rein technisch unmöglich. Ein Problem der relativistischen Quantenmechanik sind Lösungen der relativistischen Klein-Gordon-Gleichung und der Dirac-Gleichung mit negativer Energie. Dies würde es Teilchen erlauben, zu unendlicher negativer Energie abzusteigen, was in der Realität nicht beobachtet wird. In der Quantenmechanik löst man dieses Problem, indem man die entsprechenden Lösungen willkürlich als Entitäten mit positiver Energie interpretiert, die sich rückwärts in der Zeit bewegen; man überträgt also in der Wellenfunktion das negative Vorzeichen von der Energie auf die Zeit. Paul Dirac interpretierte diese Lösungen als Antiteilchen. Ein fundamentales Problem der Quantenmechanik ist jedoch ihre Unfähigkeit, Systeme mit variierender Teilchenzahl zu beschreiben. Die ersten Versuche einer Quantisierung des elektromagnetischen Feldes zielten darauf ab, die Emission von Photonen durch ein Atom beschreiben zu können. Außerdem gibt es nach der relativistischen Klein-Gordon-Gleichung und der Dirac-Theorie die oben erwähnten Antiteilchen-Lösungen. Bei ausreichender Energie ist es dann möglich, Teilchen-Antiteilchen-Paare zu erzeugen, was ein System mit konstanter Teilchenzahl unmöglich macht. Zur Lösung dieser Probleme behandelt man das Objekt, das in der Quantenmechanik als Wellenfunktion eines Teilchens interpretiert wurde, als Quantenfeld. Das heißt, dass man es ähnlich behandelt, wie eine Observable der Quantenmechanik. Dies löst nicht nur die zuvor genannten Probleme, sondern beseitigt auch Inkonsistenzen der klassischen Elektrodynamik, wie sie z. B. in der Abraham-Lorentz-Gleichung auftreten. Außerdem erhält man Begründungen für das Pauli-Prinzip und das allgemeinere Spin-Statistik-Theorem. Grundlagen der TheorieDie Quantenfeldtheorien sind ursprünglich als relativistische Streutheorien entwickelt worden. In gebundenen Systemen sind die Teilchenenergien im allgemeinen deutlich kleiner als die Massenenergien mc2. Daher ist es in solchen Fällen meist ausreichend genau, in der nichtrelativistischen Quantenmechanik mit Störungstheorie zu arbeiten. Bei Kollisionen zwischen kleinen Teilchen können jedoch sehr viel höhere Energien auftreten, so dass relativistische Effekte berücksichtigt werden müssen. Im folgenden Abschnitt wird erklärt, welche Schritte zur Entwicklung einer relativistischen Streutheorie nötig sind. Zunächst wird dazu die Lagrangedichte aufgestellt, dann werden die Felder quantisiert. Zuletzt wird mit den quantisierten Feldern eine Streutheorie beschrieben und ein dabei auftretendes Problem durch die Renormierung gelöst. LagrangedichteDer erste Schritt zu einer Quantenfeldtheorie besteht darin, Lagrangedichten für die Quantenfelder zu finden. Diese Lagrangedichten müssen als Euler-Lagrange-Gleichung die häufig zuvor bekannte Differentialgleichung für das Feld liefern. Das ist für ein skalares Feld die Klein-Gordon-Gleichung, für ein Spinorfeld die Dirac-Gleichung und für das Photon die Maxwellgleichungen. Im Folgenden wird immer 4er-(Raumzeit)-Vektoren-Schreibweise verwendet. Dabei werden die üblichen Kurzschreibweisen benutzt, nämlich die Kurzschreibweise für Differentiale
Dabei bezeichnet γμ die Dirac-Matrizen. Die oben aufgeführten Lagrangedichten beschreiben freie Felder, die nicht wechselwirken. Sie ergeben nämlich die Bewegungsgleichungen für freie Felder. Für Wechselwirkungen der Felder untereinander müssen den Lagrangedichten zusätzliche Terme hinzugefügt werden. Dabei ist auf folgende Punkte zu achten:
Erlaubte Terme sind zum Beispiel FeldquantisierungBisher wurde noch keine Aussage über die Eigenschaften der Felder gemacht. Bei starken Feldern mit einer großen Zahl von Bosonen-Anregungen können diese halbklassisch behandelt werden, im Allgemeinen muss man aber zunächst einen Mechanismus entwickeln, um die Auswirkungen der Quantennatur der Felder zu beschreiben. Die Entwicklung eines solchen Mechanismus bezeichnet man als Feldquantisierung und sie ist der erste Schritt, um das Verhalten der Felder berechenbar zu machen. Es gibt dabei zwei verschiedene Formalismen, die unterschiedliches Vorgehen beinhalten.
Im Folgenden werden die Grundlagen der Feldquantisierung für freie Felder in beiden Formalismen erklärt. Kanonischer FormalismusFür die Feldquantisierung im kanonischen Formalismus benutzt man den Hamilton-Formalismus der klassischen Mechanik. Man ordnet dabei jedem Feld ein kanonisch konjugiertes Feld analog dem kanonischen Impuls zu. Das Feld und sein kanonisch konjugiertes Feld sind dann im Sinne der Quantenmechanik konjugierte Operatoren und erfüllen eine Unschärferelation wie Ort und Impuls in der Quantenmechanik. Dies kann entweder durch eine Kommutatorrelation (für Bosonen nach dem Spin-Statistik-Theorem) oder eine Antikommutatorrelation (für Fermionen) analog zum Kommutator von Ort und Impuls realisiert werden. Diese Relation muss einen positiven Hamiltonoperator ergeben, da dieser die Energie des Systems charakterisiert und negative Energien vermieden werden sollen. Den Hamiltonoperator erhält man, indem man die Hamilton-Funktion bildet und dann die Felder durch Operatoren ersetzt. Für das skalare Feld erhält man Es ist in Quantenfeldtheorien üblich, im Impulsraum zu rechnen. Dazu betrachtet man die Fourierdarstellung des Feldoperators, die für das Skalarfeld lautet Dabei sind k der Impuls und θ(k0) die Stufenfunktion, die bei negativem Argument 0 und sonst 1 ist. Da φ(x) und φ + (x) Operatoren sind, trifft dies auch auf a(k), a + (k), b(k) und b + (k) zu. Ihre Kommutatoren folgen aus dem Kommutator der Feldoperatoren. Der Operator a + (k) kann als Operator interpretiert werden, der ein Teilchen mit Impuls k erzeugt, während b + (k) ein Antiteilchen mit Impuls k erzeugt. Entsprechend können a(k) und b(k) als Operatoren interpretiert werden, die ein Teilchen oder Antiteilchen mit Impuls k vernichten. Die Verwendung der Kommutatorrelationen führt wie gewünscht zu einem positiv definiten Hamiltonoperator. Es können beliebig viele Skalarfelder im selben Zustand sein (Bose-Einstein-Statistik). Wenn man für ein Spinorfeld analog vorgeht, erhält man Dabei sind j und k Spinorindices. Man betrachtet dann wieder analog die Fourierdarstellung des Feldoperators und berechnet den Hamiltonoperator. Einen positiven Hamiltonoperator erhält man beim Spinorfeld jedoch nur, wenn man Antikommutatoren benutzt. Diese werden mit geschweiften Klammern geschrieben, was in den obigen Formeln bereits vorweggenommen wurde. Aufgrund dieser Antikommutatoren ergibt die zweimalige Anwendung desselben Erzeugungsoperators auf einen Zustand den Nullzustand. Das bedeutet, dass nie zwei Spin-1/2-Teilchen im selben Zustand sein können (Pauli-Prinzip). Spinorfelder gehorchen daher der Fermi-Dirac-Statistik. Für Eichfelder lauten die geforderten Kommutatorrelationen wobei gμν die Komponenten der Minkowski-Metrik bezeichnet. Allerdings erhält man aus der Lagrangedichte π0 = 0, was die geforderte Kommutatorrelation nicht erfüllen kann. Die Quantisierung von Eichfeldern ist daher nur bei Festlegung einer Eichbedingung möglich. Die Festlegung einer geeigneten Eichbedingung, die den Zugang über Kommutatorrelationen von Feldern ermöglicht und gleichzeitig die Lorentzinvarianz der Lagrangedichte erhält, ist kompliziert. Man verwendet meist eine Abwandlung der Lorenz-Eichung, um sinnvoll ein kanonisch konjugiertes Feld definieren zu können. Der Formalismus wird nach seinen Entwicklern Suraj N. Gupta und Konrad Bleuler als Gupta-Bleuler-Formalismus bezeichnet. PfadintegralIm Pfadintegralformalismus werden die Felder nicht als Operatoren, sondern als einfache Funktionen behandelt. Das Pfadintegral stellt im Wesentlichen eine Übergangsamplitude von einem Vakuumzustand zum Zeitpunkt
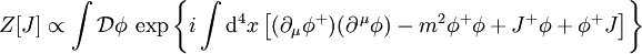
Um allerdings überhaupt Wechselwirkungen bei einem Übergang vom Vakuum zum Vakuum zu erhalten, müssen Felder erzeugt und vernichtet werden können. Dies wird im Pfadintegralformalismus nicht mithilfe von Erzeugungs- und Vernichtungsoperatoren sondern durch Quellenfelder erzielt. Es wird also zur Lagrangedichte ein Quellenterm der Form
Das lässt sich mit einem Analogon des gaußschen Integrals in eine Form bringen, die nicht mehr vom Feld φ(x) sondern nur noch vom Quellenfeld J(x) abhängt. Das Pfadintegral hat dann die Form
Dabei ist ΔF gegeben durch Das Verhalten des freien Feldes in Anwesenheit von Quellen wird nur durch den Propagator und das Quellenfeld bestimmt. Dieses Ergebnis entspricht der Erwartung, denn das Verhalten eines Feldes, das nicht wechselwirkt, ist offenbar nur durch seine Eigenschaften bei Erzeugung und Vernichtung und seine freie Bewegung bestimmt. Erstere stecken im Quellenfeld und das Bewegungsverhalten wird durch den Klein-Gordon-Operator bestimmt, dessen Informationsgehalt hier durch sein Inverses gegeben ist. Bei der Quantisierung des Spinorfeldes im Pfadintegral-Formalismus tritt das Problem auf, dass die Felder einerseits wie normale zahlenwertige Funktionen behandelt werden, auf der anderen Seite jedoch antikommutieren. Normale Zahlen kommutieren jedoch. Diese Schwierigkeit lässt sich lösen, indem man die Fermionfelder als Elemente einer Graßmann-Algebra, sogenannte Graßmann-Zahlen, auffasst. Rechnerisch bedeutet das nur, dass man sie wie antikommutierende Zahlen behandelt. Durch die Graßmann-Algebra ist diese Vorgehensweise theoretisch abgesichert. Das Pfadintegral mit Quellenfeldern
Daraus lässt sich, wie beim skalaren Feld, eine Form ableiten, die nicht mehr von
Dabei ist Das Pfadintegral für ein Eichfeld ist von der Form
Der Operator Daher lässt sich hier nicht dieselbe Vorgehensweise anwenden, wie beim skalaren Feld und beim Spinorfeld. Man muss der Lagrangedichte einen zusätzlichen Term hinzufügen, so dass man einen Operator erhält, zu dem es ein Inverses gibt. Dies ist äquivalent dazu, eine Eichung festzulegen. Daher bezeichnet man den neuen Term als eichfixierenden Term. Er ist allgemein von der Form Das führt jedoch dazu, dass die Lagrangedichte von der Wahl des Eichterms f abhängt. Dieses Problem lässt sich durch das Einführen von sogenannten Fadejew-Popow-Geistern beheben. Diese Geister sind antikommutierende skalare Felder und widersprechen damit dem Spin-Statistik-Theorem. Sie können daher nicht als freie Felder auftreten, sondern nur als sogenannte virtuelle Teilchen. Durch die Wahl der sogenannten Axial-Eichung lässt sich das Auftreten dieser Felder vermeiden, was ihre Interpretation als mathematische Artefakte naheliegend erscheinen lässt. Ihr Auftreten in anderen Eichungen ist jedoch aus tieferliegenden theoretischen Gründen (Unitarität der S-Matrix) zwingend notwendig für die Konsistenz der Theorie. Die vollständige Lagrangedichte mit eichfixierendem Term und Geistfeldern ist von der Eichbedingung abhängig. Für die Lorenz-Eichung lautet sie bei nichtabelschen Eichtheorien Dabei ist Für abelsche Eichtheorien wie den Elektromagnetismus nimmt der letzte Term unabhängig von der Eichung die Form Das Pfadintegral liefert auch eine Zusammenhang mit den Verteilungsfunktionen der statistischen Mechanik. Dazu wird die imaginäre Zeitkoordinate im Minkowskiraum analytisch in den euklidischen Raum fortgesetzt und statt komplexer Phasenfaktoren im Wegintegral erhält man reelle ähnlich den Boltzmann-Faktoren der statistischen Mechanik. In dieser Form ist diese Formulierung auch Ausgangspunkt von numerischen Simulationen der Feldkonfigurationen (meist zufällig im Monte-Carlo-Verfahren mit einer Wichtung über diese Boltzmannfaktoren ausgewählt) in Gitter-Rechnungen. Sie liefern die bisher genauesten Methoden z.B. für die Berechnung von Hadronmassen in der Quantenchromodynamik. StreuprozesseWie oben schon ausgeführt, ist das Ziel der vorangegangenen Verfahren die Beschreibung einer relativistischen Streutheorie. Obwohl die Methoden der Quantenfeldtheorien heute auch in anderen Zusammenhängen genutzt werden, ist die Streutheorie noch heute eines ihrer Hauptanwendungsgebiete, daher werden die Grundlagen derselben an dieser Stelle erläutert. Das zentrale Objekt der Streutheorie ist die sogenannte S-Matrix oder Streumatrix, deren Elemente die Übergangswahrscheinlichkeit von einem Anfangszustand
Die S-Matrix lässt sich im Wesentlichen als Summe von Vakuumerwartungswerten von zeitgeordneten Feldoperatorprodukten (auch n-Punkt-Funktionen, Korrelatoren oder Greensche Funktionen genannt) schreiben. Ein Beweis dieser sogenannten LSZ-Zerlegung ist einer der ersten großen Erfolge der axiomatischen Quantenfeldtheorie. Im Beispiel einer Quantenfeldtheorie, in der es nur ein Skalarfeld gibt, hat die Zerlegung die Form Dabei ist K der Klein-Gordon-Operator und T der Zeitordnungsoperator der die Felder aufsteigend nach dem Wert der Zeit Zur Berechnung der S-Matrix genügt es also, die zeitgeordneten n-Punkt-Funktionen Feynman-Regeln und StörungstheorieAls nützliches Werkzeug zur Vereinfachung der Berechnungen der n-Punkt-Funktionen haben sich die Feynman-Diagramme erwiesen. Diese Kurzschreibweise wurde 1950 von Richard Feynman entwickelt und nutzt aus, dass sich die Terme, die bei der Berechnung der n-Punkt-Funktionen auftreten, in eine kleine Anzahl elementarer Bausteine zerlegen lassen. Diesen Term-Bausteinen werden dann Bildelemente zugeordnet. Diese Zuordnung bezeichnet man als Feynman-Regeln. Die Feynman-Diagramme ermöglichen es damit, komplizierte Terme in Form kleiner Bilder darzustellen. Dabei gibt es zu jedem Term in der Lagrangedichte ein entsprechendes Bildelement. Der Massenterm wird dabei mit dem Ableitungsterm als ein Term behandelt, der das freie Feld beschreibt. Diesen Termen werden für verschiedene Felder meist verschiedene Linien zugeordnet. Den Wechselwirkungstermen entsprechen degegen Knotenpunkte, sogenannte Vertices, an denen für jedes Feld, das im Wechselwirkungsterm steht, eine entsprechende Linie endet. Linien, die nur an einem Ende mit dem Diagramm verbunden sind, werden als reale Teilchen interpretiert, während Linien, die zwei Vertices verbinden als virtuelle Teilchen interpretiert werden. Es lässt sich auch eine Zeitrichtung im Diagramm festlegen, so dass es als eine Art Veranschaulichung des Streuprozesses interpretiert werden kann. Dabei muss man jedoch zur vollständigen Berechnung einer bestimmten Streuamplitude alle Diagramme mit den entsprechenden Anfangs- und Endteilchen berücksichtigen. Wenn die Lagrangedichte der Quantenfeldtheorie Wechselwirkungsterme enthält, sind dies im allgemeinen unendlich viele Diagramme. Wenn die Kopplungskonstante kleiner ist als eins, werden die Terme mit höheren Potenzen der Kopplungskonstante immer kleiner. Da nach den Feynmanregeln jeder Vertex für die Multiplikation mit der entsprechenden Kopplungskonstante steht, werden die Beiträge von Diagrammen mit vielen Vertices sehr klein. Die einfachsten Diagramme liefern also den größten Beitrag zur Streuamplitude, während die Diagramme mit zunehmender Kompliziertheit auch immer geringere Beiträge liefert. Man kann also die Prinzipien der Störungstheorie anwenden, und gute Ergebnisse für die Streuamplituden bekommen, indem man nur Diagramme niedriger Ordnung in der Kopplungskonstante berechnet. RenormierungDie Feynman-Diagramme mit geschlossenen inneren Linien, die sogenannten Schleifendiagramme (z.B. Wechselwirkung eines Elektrons mit „virtuellen“ Photonen aus dem Vakuum, Wechselwirkung eines Photons mit virtuell erzeugten Teilchen-Antiteilchen Paaren aus dem Vakuum), sind meist divergent, da über alle Energien/Impulse (Frequenz/Wellenzahl) integriert wird. Das hat zur Folge, dass sich kompliziertere Feynman-Diagramme zunächst nicht berechnen lassen. Dieses Problem lässt sich jedoch häufig durch ein sogenanntes Renormierungsverfahren beheben, nach einer falschen Rückübersetzung aus dem Englischen auch manchmal als "Renormalisierung" bezeichnet. Es gibt grundsätzlich zwei verschiedene Sichtweisen auf diese Prozedur. Die erste traditionelle Sichtweise ordnet die Beiträge der divergierenden Schleifendiagramme so an, dass sie wenigen Parametern in der Lagrangefunktion wie Massen und Kopplungskonstanten entsprechen. Dann führt man Gegenterme (counter terms) in der Lagrangefunktion ein, die als unendliche „nackte“ Werte dieser Parameter diese Divergenzen aufheben. Das ist in der Quantenelektrodynamik möglich, ebenso in der Quantenchromodynamik und anderen solchen Eichtheorien, bei anderen Theorien wie der Gravitation dagegen nicht. Dort wären unendlich viele Gegenterme nötig, die Theorie ist „nicht renomierbar“. Eine zweite neuere Sichtweise aus dem Umfeld der Renormierungsgruppe beschreibt die Physik je nach Energiebereich durch verschiedene „effektive“ Feldtheorien. Beispielsweise ist die Kopplungskonstante in der Quantenchromodynamik energieabhängig, für kleine Energien geht sie gegen Unendlich (confinement), für hohe Energien gegen Null (Asymptotische Freiheit). Während in der QED die „nackten“ Ladungen durch die Vakuumpolarisation (Paarerzeugung und -vernichtung) wirksam abgeschirmt werden, liegt der Fall bei Yang-Mills-Theorien wie der QCD wegen der Selbstwechselwirkung der geladenen Eichbosonen komplizierter. Man vermutet, dass sich alle Kopplungskonstanten physikalischer Theorien bei genügend hohen Energien annähern, und dort wird die Physik dann durch eine große vereinheitlichte Theorie der Grundkräfte beschrieben. Das Verhalten von Kopplungskonstanten und die Möglichkeit von Phasenübergängen mit der Energie wird durch die Theorie der Renormierungsgruppe beschrieben. Aus solchen theoretischen Extrapolationen hat es in den 1990er Jahren erste Hinweise auf die Existenz supersymmetrischer Theorien gegeben, für die sich die Kopplungskonstanten am Besten in einem Punkt treffen. Die technische Vorgehensweise ist jedoch unabhängig von der Sichtweise. Es wird zunächst eine sogenannte Regularisierung vorgenommen, indem einen zusätzlicher Parameter in die Rechnung eingeführt wird. Dieser Parameter muss zuletzt wieder gegen null oder unendlich laufen (je nach Wahl) um die ursprünglichen Terme wieder zu erhalten. Solange der Regularisierungsparameter jedoch endlich angenommen wird, bleiben die Terme endlich. Man formt dann die Terme so um, dass die Unendlichkeiten nur noch in Termen auftreten, die reine Funktionen des Regularisierungsparameters sind. Diese Terme werden dann weggelassen. Danach setzt man den Regulierungsparameter null bzw. unendlich, wobei das Ergebnis nun endlich bleibt. Diese Vorgehensweise wirkt auf den ersten Blick willkürlich, doch das "Weglassen" muss nach bestimmten Regeln erfolgen. Dadurch wird sichergestellt, dass die renormierten Kopplungskonstanten bei niedrigen Energien den gemessenen Konstanten entsprechen. Konkrete QuantenfeldtheorienStandardmodellDurch Kombination des elektroschwachen Modells mit der Quantenchromodynamik entsteht eine vereinte Quantenfeldtheorie, das so genannte Standardmodell der Elementarteilchenphysik. Es enthält alle bekannten Teilchen und kann die meisten bekannten Vorgänge erklären. Gleichzeitig ist aber bekannt, dass das Standardmodell nicht die letztendliche Theorie sein kann. Zum einen ist die Gravitation nicht enthalten, zum anderen gibt es eine Reihe von Beobachtungen (Neutrinooszillationen, Dunkle Materie), nach denen eine Erweiterung des Standardmodells notwendig scheint. Außerdem enthält das Standardmodell sehr viel willkürliche Parameter und erklärt z.B. das sehr unterschiedliche Massenspektrum der Elementarteilchenfamilien nicht. Die im Folgenden erläuterten Quantenfeldtheorien sind alle im Standardmodell enthalten. φ4-TheorieDie Lagrangedichte der φ4-Theorie lautet Diese Quantenfeldtheorie besitzt große theoretische Bedeutung, da sie die einfachste denkbare Quantenfeldtheorie mit einer Wechselwirkung ist und hier im Gegensatz zu realistischeren Modellen einige exakte mathematische Aussagen über ihre Eigenschaften gemacht werden können. Sie beschreibt ein selbstwechselwirkendes reelles oder komplexes Skalarfeld. In der statistischen Physik spielt sie eine Rolle als effektive Theorie für das Ordnungsparameter-Feld in der Landau-Theorie der Phasenübergänge. Auch das Higgsfeld des Standardmodells hat eine φ4-Selbstwechselwirkung, die allerdings noch um Wechselwirkungen mit den anderen Feldern des Standardmodells ergänzt wird.In diesen Fällen ist die Kopplungskonstante m2 negativ, was einer imaginären Masse entspräche. Diese Felder werden daher als tachyonische Felder bezeichnet. Diese Bezeichnung bezieht sich jedoch auf das Higgsfeld und nicht auf das Higgs-Teilchen, welches kein Tachyon, sondern ein gewöhnliches Teilchen mit reeller Masse ist. Das Higgsteilchen wird auch nicht durch das Higgsfeld beschrieben sondern nur durch einen bestimmten Anteil dieses Feldes. QuantenelektrodynamikDie Lagrangedichte der Quantenelektrodynamik (QED) lautet Die QED ist die erste physikalisch erfolgreiche Quantenfeldtheorie. Sie beschreibt die Wechselwirkung eines Spinorfeldes mit Ladung -e, das das Elektron beschreibt, mit einem Eichfeld, das das Photon beschreibt. Man erhält ihre Bewegungsgleichungen aus der Elektrodynamik durch Quantisierung der maxwellschen Gleichungen. Die Quantenelektrodynamik erklärt mit hoher Genauigkeit die elektromagnetische Wechselwirkung zwischen geladenen Teilchen (zum Beispiel Elektronen, Myonen, Quarks) mittels Austausch von virtuellen Photonen sowie die Eigenschaften von elektromagnetischer Strahlung. Dadurch lassen sich etwa die chemischen Elemente, ihre Eigenschaften und Bindungen und das Periodensystem der Elemente verstehen. Auch die Festkörperphysik mit der wirtschaftlich bedeutsamen Halbleiterphysik leiten sich letztendlich von der QED ab. Konkrete Rechnungen werden allerdings in der Regel im vereinfachten, aber ausreichenden Formalismus der Quantenmechanik durchgeführt. Schwache WechselwirkungDie schwache Wechselwirkung, deren bekanntester Effekt der Betazerfall ist, nimmt eine physikalisch geschlossene Formulierung nach Vereinheitlichung mit der QED im elektroschwachen Standardmodell an. Die Wechselwirkung wird hier durch Photonen, W- und Z-Bosonen vermittelt. In dieser Theorie tritt auch das bislang noch nicht bestätigte Higgsteilchen auf. QuantenchromodynamikEin anderes Beispiel einer QFT ist die Quantenchromodynamik (QCD), welche die Starke Wechselwirkung beschreibt. In ihr wird ein Teil der im Atomkern auftretenden Wechselwirkungen zwischen Protonen und Neutronen auf die subnukleare Wechselwirkung zwischen Quarks und Gluonen reduziert. Interessant ist in der QCD, dass die Gluonen, welche die Wechselwirkung vermitteln, selbst miteinander wechselwirken. (Das wäre am Beispiel der QED etwa so, als ob sich zwei durchdringende Lichtstrahlen direkt beeinflussen würden.) Eine Konsequenz dieser gluonischen Selbstwechselwirkung ist, dass die elementaren Quarks nicht einzeln beobachtet werden können, sondern immer in Form von Quark-Antiquark-Zuständen oder Zuständen dreier Quarks (oder Antiquarks) auftreten (Confinement). Auf der anderen Seite folgt daraus, dass die Kopplungskonstante bei hohen Energien nicht zunimmt, sondern abnimmt. Dieses Verhalten wird als asymptotische Freiheit bezeichnet. Weiterführende AspekteSpontane SymmetriebrechungWie oben schon angesprochen, eignet sich die φ4-Theorie zur Beschreibung von Systemen mit spontaner Symmetriebrechung oder kritischen Punkten. Der Massenterm wird dazu als Teil des Potentials verstanden. Für eine reelle Masse hat dieses Potential dann nur ein Minimum, während bei imaginärer Masse das Potential eine w-förmige Parabel vierten Grades beschreibt. Wenn das Feld mehr als eine reelle Komponente hat, erhält man noch mehr Minima. Bei einem komplexen Feld (mit zwei reellen Komponenten) erhält man zum Beispiel die Rotationsfigur der w-förmigen Parabel mit einem Minimakreis. Diese Form wird auch als Mexican Hat Potential bezeichnet, da das Potential an die Form eines Sombrero erinnert. Jedes Minimum entspricht nun einem Zustand niedrigster Energie, die vom Feld alle mit gleicher Wahrscheinlichkeit angenommen werden. In jedem dieser Zustände hat das Feld jedoch ein geringeres Maß an Symmetrie, da die Symmetrie der Minima untereinander durch Auswahl eines Minimums verloren geht. Diese Eigenschaft der klassischen Feldtheorie überträgt sich auf die Quantenfeldtheorie, so dass sich die Möglichkeit ergibt, Quantensysteme mit gebrochender Symmetrie zu beschreiben. Beispiele für solche Systeme sind das Ising-Modell aus der Thermodynamik, das die spontane Magnetisierung eines Ferromagneten erklärt, und der Higgs-Mechanismus, der die Massen der Eichbosonen in der schwachen Wechselwirkung erklärt. Durch die erhaltenen Massenterme der Eichbosonen wird nämlich die Eichsymmetrie reduziert. Axiomatische QuantenfeldtheorieDie Axiomatische Quantenfeldtheorie versucht, ausgehend von einem Satz möglichst weniger, als mathematisch oder physikalisch unumgänglich angesehener Axiome, eine konsistente Beschreibung der Quantenfeldtheorie zu erzielen. Die axiomatische Quantenfeldtheorie wurde u.a. aus den Wightman-Axiomen, entstanden im Jahr 1956, begründet. Ein weiterer Zugang ist die von Haag und Araki 1962 formulierte algebraische Quantenfeldtheorie, die durch die Haag-Kastler-Axiome charakterisiert wird. Die Osterwalder-Schrader-Axiome stellen einen dritten axiomatischen Zugang zur Quantenfeldtheorie dar. Etliche konkrete Ergebnisse konnten mit dieser Herangehensweise erzielt werden, zum Beispiel die Herleitung des Spin-Statistik-Theorems und des CPT-Theorems alleine aus den Axiomen, d.h. unabhängig von einer speziellen Quantenfeldtheorie. Ein früher Erfolg war die 1955 von Lehmann, Symanzik und Zimmermann entwickelte LSZ-Reduktionsformel für die S-Matrix. Außerdem existiert ein von Bogolubov, Medvedev und Polianov begründeter funktionalanalytischer Zugang zur S-Matrix-Theorie (auch BMP-Theorie genannt). Weitere Anwendungen im Bereich der klassischen Statistik und der Quantenstatistik sind schon sehr weit fortgeschritten. Sie reichen von der allgemeinen Ableitung der Existenz thermodynamischer Größen, Satz von Gibbs, Zustandsgrößen wie Druck, innerer Energie und Entropie bis zum Beweis der Existenz von Phasenübergängen und der exakten Behandlung wichtiger Vielteilchensysteme:
Verhältnis zu anderen TheorienVersuche, diese Quantenfeldtheorien mit der allgemeinen Relativitätstheorie (Gravitation) zur Quantengravitation zu vereinen, sind bisher ohne Erfolg geblieben. Nach Ansicht vieler Forscher erfordert die Quantisierung der Gravitation neue, über die Quantenfeldtheorie hinausgehende Konzepte, da hier der Raum-Zeit Hintergrund selbst dynamisch wird. Beispiele aus der aktuellen Forschung sind die Stringtheorie, die M-Theorie und die Loop-Quantengravitation. Weiter liefern die Supersymmetrie, die Twistor-Theorie und die Finite Quantenfeldtheorie wichtige konzeptionelle Ideen, die zur Zeit in der Fachwelt diskutiert werden. Literatur
|
||||||||||||||||
| Dieser Artikel basiert auf dem Artikel Quantenfeldtheorie aus der freien Enzyklopädie Wikipedia und steht unter der GNU-Lizenz für freie Dokumentation. In der Wikipedia ist eine Liste der Autoren verfügbar. | ||||||||||||||||




und die Einsteinsche Summenkonvention, die besagt dass über einen oben und einen unten stehenden Index automatisch (von 0 bis 3) summiert wird.
(Spin = 0)
(Spin = 1/2)
(Spin 1)
ist der sogenannte adjungierte Spinor.
sind die Komponenten des
mit m und n aus den natürlichen Zahlen mit null. Dabei ist y die Kopplungskonstante. Wechselwirkungen mit dem Photon werden meist durch die kovariante Ableitung (
) in der Lagrangedichte für das freie Feld realisiert. Dabei ist e die Kopplungskonstante, die in diesem Fall der elektrischen Ladung entspricht.
als kanonisch konjugiertes Feld zu
als kanonisch konjugiertes Feld zu
. Die geforderte Kommutatorrelation lautet
als kanonisch konjugiertes Feld zu
als kanonisch konjugiertes Feld zu
. Damit ergeben sich die geforderten (Anti-)Kommutatorrelationen zu
zu einem Vakuumzustand zum Zeitpunkt
dar, wobei über alle dazwischen möglichen Feldkonfigurationen (Pfade) integriert wird, mit einem Phasenfaktor, der durch die Wirkung festgelegt wird. Es hat für das Skalarfeld die Form
.
hinzugefügt. Das Quellenfeld J(x) soll nur in einem endlichen Intervall auf der Zeitachse von null verschieden sein. Das bedeutet, dass die wechselwirkenden Felder genau innerhalb dieses Zeitintervalls existieren. Das volle Pfadintegral für ein freies Skalarfeld hat damit die Form
.
.
also gewissermaßen als das Inverse des Klein-Gordon-Operators. Dieses Objekt wird als zeitgeordnete Greensche Funktion oder Feynman-
und
hat dann die Form
.
.
das Inverse des Dirac-Operators, das auch als Dirac-Propagator bezeichnet wird. Analog zum skalaren Feld ergibt sich auch hier eine Form, die erwartungsgemäß nur von den Quellenfeldern und der Dynamik der Felder bestimmt ist.
.
hat jedoch kein Inverses. Das erkennt man daran, dass er bei Anwendung auf Vektoren des Typs
null ergibt. Mindestens einer seiner Eigenwerte ist also null, was analog einer Matrix dafür sorgt, dass der Operator nicht invertierbar ist.
. Die dazu korrespondierende Eichbedingung lautet
.
das Antigeistfeld.
an. Daher kann dieser Teil des Pfadintegrals einfach integriert werden und trägt nicht zur Dynamik bei.
in einen Ausgangszustand
beschreiben. Die Elemente der S-Matrix bezeichnet man als Streuamplituden. Auf der Ebene der Felder ist die S-Matrix also bestimmt durch die Gleichung
.
ordnet. Falls noch andere Felder als das Skalarfeld vorkommen, müssen jeweils die entsprechenden Hamiltonoperatoren verwendet werden. Für ein Spinorfeld muss z.B. der Dirac-Operator statt des Klein-Gordon-Operators verwendet werden.
berechnen zu können.